First tutorial on aTDEP¶

The 2^{nd} order effective Interatomic Force Constants (IFC)¶
This tutorial shows how to capture anharmonicities by means of an harmonic Temperature Dependent Effective Potential (TDEP) by using the ABINIT package. In practice, this requires to obtain the 2^{nd} order effective IFC. Once obtained, almost all the dynamic (phonons…), elastic (constants, moduli…) and thermodynamic (entropy, free energy…) desired quantities can be derived therefrom.
You will learn:
- how to launch aTDEP just after an ABINIT simulation,
- the meaning and effects of the main input variables, and
- how to exploit the data provided in the output files.
You are not supposed to know how to use ABINIT, but you are strongly encouraged to read the following documents:
- User guide: aTDEP guide
- Theory: aTDEP paper corresponding to the article [Bottin2020]
This tutorial should take about 1.5 hour.
Note
Supposing you made your own installation of ABINIT, the input files to run the examples are in the ~abinit/tests/ directory where ~abinit is the absolute path of the abinit top-level directory. If you have NOT made your own install, ask your system administrator where to find the package, especially the executable and test files.
In case you work on your own PC or workstation, to make things easier, we suggest you define some handy environment variables by executing the following lines in the terminal:
export ABI_HOME=Replace_with_absolute_path_to_abinit_top_level_dir # Change this line
export PATH=$ABI_HOME/src/98_main/:$PATH # Do not change this line: path to executable
export ABI_TESTS=$ABI_HOME/tests/ # Do not change this line: path to tests dir
export ABI_PSPDIR=$ABI_TESTS/Psps_for_tests/ # Do not change this line: path to pseudos dir
Examples in this tutorial use these shell variables: copy and paste
the code snippets into the terminal (remember to set ABI_HOME first!) or, alternatively,
source the set_abienv.sh script located in the ~abinit directory:
source ~abinit/set_abienv.sh
The ‘export PATH’ line adds the directory containing the executables to your PATH so that you can invoke the code by simply typing abinit in the terminal instead of providing the absolute path.
To execute the tutorials, create a working directory (Work*) and
copy there the input files of the lesson.
Most of the tutorials do not rely on parallelism (except specific tutorials on parallelism). However you can run most of the tutorial examples in parallel with MPI, see the topic on parallelism.
1. Summary of the aTDEP method¶
The Temperature Dependent Effective Potential approach has been introduced by O. Hellman et al. [Hellman2011] in 2011. The purpose of this method is to capture the anharmonic effects in an effective way.
Let us consider that the potential energy U of a crystal can be rewritten as a Taylor expansion around the equilibrium:
In this equation, and in the following, the Latin letters in subscripts i, j, k... and the Greek letters in superscripts \alpha, \beta, \gamma… will define the atoms and the cartesian directions, respectively.
with U_0 the minimum of the potential energy, u the displacement with respect to equilibrium, and \overset{(p)}{\Phi}=\left(\frac{\partial^p U}{\partial u_1 ... \partial u_p}\right)_0 the p^{th} order IFC, respectively. As a first approach (we will see in the second tutorial how to go beyond), let us assume that :
-
the previous equation is truncated at the 2^{nd} order such as : $$ U= U_0 + \frac{1}{2!}\sum_{ij,\alpha\beta} \overset{(2)}{\Theta}\vphantom{\Theta}_{ij}^{\alpha\beta} u_i^\alpha u_j^\beta + 0(u^3) $$
-
a set of N_t forces \mathbf{F}_{AIMD}(t) and displacements \mathbf{u}_{AIMD}(t) is obtained using ab initio molecular dynamic (AIMD) simulations, leading to the following system of equations (F=-\nabla U):
It is then possible to obtain the 2nd order effective IFC \overset{(2)}{\Theta} by using a least squares method : \mathbf{\overset{(2)}{\Theta}} = \mathbf{F} . \mathbf{u}^{-1}. This fitting procedure modifies the 2nd order IFC by including (in an effective way) the anharmonic contributions coming from the terms above the truncation. Therefore, the IFC are no longer constant and become temperature dependent. That is the reason why we change the notation: in the following, the \Phi will be referred to as the ‘‘true IFC’’ and the \Theta as the ‘‘effective IFC’’.
2. A simple case : Al-fcc¶
Let us begin with the face centered cubic (fcc) phase of aluminum. This one is very simple for many reasons :
- There is only one atom in the unitcell so we will have only three phonon branches in the spectrum.
- At 0 GPa, the fcc phase is stable from 0 K up to the melting so we do not expect any trouble coming from phonon instabilities.
Before beginning, you might consider to work in a different subdirectory as for the other tutorials. Why not create Work_atdep1_1 in $ABI_TESTS/tutoatdep/Input? You can copy all the input files within.
cd $ABI_TESTS/tutoatdep/Input
mkdir Work_atdep1_1
cd Work_atdep1_1
cp ../tatdep1_1.* .
2.1 The input files¶
Let us discuss the meaning of these five files :
2.1.1 The data files tatdep1_1xred.dat, tatdep1_1fcart.dat and tatdep1_1etotal.dat¶
These ones store some data coming from the AIMD simulations : the reduced coordinates, the cartesian forces and the total energy of all the atoms in the supercell, respectively. In the present example, only 20 snapshots are extracted from a very long trajectory with thousands molecular dynamic time steps.
2.1.2 The input file tatdep1_1.abi¶
NormalMode #DEFINE_UNITCELL brav 7 -3 natom_unitcell 1 xred_unitcell 0.00000000000000000 0.00000000000000000 0.00000000000000000 typat_unitcell 1 ntypat 1 amu 2.6981539000000000000000E+01 #DEFINE_SUPERCELL rprimd 22.908999800000000 0.000000000000000 0.000000000000000 0.000000000000000 22.908999800000000 0.000000000000000 0.000000000000000 0.000000000000000 22.908999800000000 multiplicity -3 3 3 3 -3 3 3 3 -3 natom 108 typat 1 1 1 1 1 1 1 1 1 1 1 1 1 1 1 1 1 1 1 1 1 1 1 1 1 1 1 1 1 1 1 1 1 1 1 1 1 1 1 1 1 1 1 1 1 1 1 1 1 1 1 1 1 1 1 1 1 1 1 1 1 1 1 1 1 1 1 1 1 1 1 1 1 1 1 1 1 1 1 1 1 1 1 1 1 1 1 1 1 1 1 1 1 1 1 1 1 1 1 1 1 1 1 1 1 1 1 1 1 1 1 1 1 1 1 1 1 1 1 1 1 1 1 1 1 1 1 1 1 1 1 1 1 1 1 1 1 1 1 1 1 temperature 9.000000000000000000E+02 #DEFINE_COMPUTATIONAL_DETAILS nstep_max 20 nstep_min 1 rcut 11.450000000000000000000 #OPTIONAL_INPUT_VARIABLES enunit 3 TheEnd #%%<BEGIN TEST_INFO> #%% [setup] #%% executable = atdep #%% md_hist = tatdep1_1 #%% [files] #%% files_to_test = #%% tatdep1_1.abo, tolnlines = 1, tolabs = 2.e-3, tolrel = 1.e-4, fld_options = -medium; #%% tatdep1_1omega.dat, tolnlines = 5, tolabs = 2.e-3, tolrel = 1.e-4, fld_options = -medium; #%% tatdep1_1thermo.dat, tolnlines = 5, tolabs = 2.e-3, tolrel = 1.e-4, fld_options = -medium; #%% [paral_info] #%% max_nprocs = 10 #%% [extra_info] #%% authors = F. Bottin & J. Bouchet #%% keywords = atdep #%% description = #%% test aTDEP #%% topics = aTDEP #%%<END TEST_INFO>
This one lists (in a formated way) all the input variables needed. In the following we will comment each variable and the value used for the present calculation. Many of them have the same meaning as in the ABINIT main code.
- For the unitcell :
| Input variable | Meaning |
|---|---|
| brav | Defines the BRAVais lattice (as defined in the ABINIT code). For the present calculation (fcc) : 7 (cubic) and -3 (face centered). |
| natom_unitcell | Defines the Number of ATOMs in the UNITCELL. For the present calculation : 1 |
| xred_unitcell | Defines the Xyz REDuced coordinates in the UNITCELL. For the present calculation : 0.0 0.0 0.0 |
| typat_unitcell | Defines the TYPes of AToms in the UNITCELL. For the present calculation : 1 |
| ntypat | Defines the Number of TYPes of AToms. For the present calculation : 1 |
| amu | Defines the Atomic masses in Mass Units. For the present calculation (Al) : 26.981539 |
- For the supercell :
| Input variable | Meaning |
|---|---|
| rprimd | Defines the Dimensional Real space PRMitive vectors of the SUPERCELL. For the present calculation : \begin{pmatrix} 22.9089998 & 0.0 & 0.0 \\ 0.0 & 22.9089998 & 0.0 \\ 0.0 & 0.0 & 22.9089998 \end{pmatrix} |
| multiplicity | Defines the MULTIPLICITY of the SUPERCELL with respect to the primitive UNICELL. For the present calculation : \begin{pmatrix} -3 & 3 & 3 \\ 3 & -3 & 3 \\ 3 & 3 & -3 \end{pmatrix} |
| natom | Defines the Number of ATOMs in the SUPERCELL. For the present calculation : 108 |
| typat | Defines the TYPe of AToms in the SUPERCELL. For the present calculation : 108 * 1 |
| temperature | Defines the TEMPERATURE of the system. For the present calculation : 900 K |
- For the calculation :
| Input variable | Meaning |
|---|---|
| nstep_max | Defines the upper limit in the range of configurations that one wants to use. For the present calculation : 20 |
| nstep_min | Defines the lower limit in the range of configurations that one wants to use. For the present calculation : 1 |
| rcut | Defines the CUToff Radius used to compute the second order IFCs. For the present calculation : 11.45 (\approx \frac{22.9089998}{2}) |
- Optional :
| Input variable | Meaning |
|---|---|
| enunit | Defines the ENergy UNIT used for the phonon spectrum. For the present calculation : 3 (in THz) |
2.1.3 The files file tatdep1_1.files¶
This one lists the input file name and the root of input and output files :
tatdep1_1.abi tatdep1_1 tatdep1_1
You can now execute atdep:
atdep < tatdep1_1.files > log 2> err &
The code should run very quickly.
2.2 The output files¶
The atdep code writes many output files (some of them are available in *$ABI_TESTS/tutoatdep/Refs/). The reason is twofold : to remove all the “details” of the calculations from the main output file and to give all the thermodynamic data in an handable format. Let us detail these output files in the following :
2.2.1 The main output file tatdep1_1.abo¶
.Version 3.0 of PHONONS
.Copyright (C) 1998-2022 ABINIT group (FB,JB).
ABINIT comes with ABSOLUTELY NO WARRANTY.
It is free software, and you are welcome to redistribute it
under certain conditions (GNU General Public License,
see ~abinit/COPYING or http://www.gnu.org/copyleft/gpl.txt).
ABINIT is a project of the Universite Catholique de Louvain,
Corning Inc. and other collaborators, see
~abinit/doc/developers/contributors.txt .
Please read https://docs.abinit.org/theory/acknowledgments for suggested
acknowledgments of the ABINIT effort.
For more information, see http://www.abinit.org .
.Starting date : 2 Mar 2021.
#############################################################################
######################### ECHO OF INPUT FILE ################################
#############################################################################
======================= Define the unitcell =================================
brav 7 -3
natom_unitcell 1
xred_unitcell
0.0000000000 0.0000000000 0.0000000000
typat_unitcell 1
ntypat 1
amu 26.9815390000
======================= Define the supercell ================================
rprimd
22.9089998000 0.0000000000 0.0000000000
0.0000000000 22.9089998000 0.0000000000
0.0000000000 0.0000000000 22.9089998000
multiplicity
-3.0000000000 3.0000000000 3.0000000000
3.0000000000 -3.0000000000 3.0000000000
3.0000000000 3.0000000000 -3.0000000000
natom 108
typat
1 1 1 1 1 1 1 1 1 1
1 1 1 1 1 1 1 1 1 1
1 1 1 1 1 1 1 1 1 1
1 1 1 1 1 1 1 1 1 1
1 1 1 1 1 1 1 1 1 1
1 1 1 1 1 1 1 1 1 1
1 1 1 1 1 1 1 1 1 1
1 1 1 1 1 1 1 1 1 1
1 1 1 1 1 1 1 1 1 1
1 1 1 1 1 1 1 1 1 1
1 1 1 1 1 1 1 1
temperature 900.0000000000
======================= Define computational details ========================
nstep_max 20
nstep_min 1
rcut 11.4500000000
======================= Optional input variables ============================
enunit 3 (Phonon frequencies in THz)
USE AVERAGE POSITIONS TO COMPUTE SPECTRUM
-Number of processors 1 1
All quantities are computed from nstep_min= 1
to nstep_max= 20
So, the real number of time steps is nstep= 20
The positions, forces and energies are extracted from the ASCII files: xred.dat, fcart.dat & etot.dat
#############################################################################
########################## Computed quantities ##############################
#############################################################################
acell_unitcell= 7.6363332667 7.6363332667 7.6363332667
rprimd_md= 22.9089998000 0.0000000000 0.0000000000
rprimd_md= 0.0000000000 22.9089998000 0.0000000000
rprimd_md= 0.0000000000 0.0000000000 22.9089998000
bravais= 7 -3 1 -1 0 1 0 1 0 -1 1
See the sym.dat file
#############################################################################
########################## Q points generation #############################
#############################################################################
Generate the BZ path using the Q points defined by default
See the qpt.dat file
#############################################################################
###### Find the matching between ideal and average positions ###############
#############################################################################
Determine ideal positions and distances...
Compute average positions...
Search the unitcell basis of atoms in the MD trajectory...
Compare ideal and average positions using PBC...
Write the xred_average.xyz file with ideal and average positions...
Compute cartesian coordinates and forces...
#############################################################################
###################### Find the symetry operations ##########################
#################### (connecting the atoms together) ########################
#############################################################################
Search the matrix transformation going from (k) to (i)...
Search the matrix transformation going from (k,l) to (i,j)...
See the Indsym*.dat files (if debug)
#############################################################################
####### FIRST ORDER : find the number of coefficients #######################
#############################################################################
Build the ref1at and Isym1at tables...
Build the Shell1at datatype...
Number of shells= 1
============================================================================
Shell number: 1
For atom 1:
Number of independant coefficients in this shell= 0
Number of interactions in this shell= 0
============================================================================
>>>>>> Total number of coefficients at the first order= 0
#############################################################################
###### SECOND ORDER : find the number of coefficients #######################
#############################################################################
Build the ref2at and Isym2at tables...
Build the Shell2at datatype...
Number of shells= 5
============================================================================
Shell number: 1
Between atom 1 and 1 the distance is= 0.0000000000
Number of independant coefficients in this shell= 0
Number of interactions in this shell= 1
============================================================================
Shell number: 2
Between atom 1 and 2 the distance is= 5.3997030363
Number of independant coefficients in this shell= 3
Number of interactions in this shell= 12
============================================================================
Shell number: 3
Between atom 1 and 4 the distance is= 7.6363332667
Number of independant coefficients in this shell= 2
Number of interactions in this shell= 6
============================================================================
Shell number: 4
Between atom 1 and 10 the distance is= 9.3525600046
Number of independant coefficients in this shell= 4
Number of interactions in this shell= 24
============================================================================
Shell number: 5
Between atom 1 and 16 the distance is= 10.7994060725
Number of independant coefficients in this shell= 3
Number of interactions in this shell= 12
============================================================================
>>>>>> Total number of coefficients at the second order= 12
#############################################################################
############## Fill the matrices used in the pseudo-inverse #################
#############################################################################
Compute the coefficients (at the 1st order) used in the Moore-Penrose...
------- achieved
Compute the coefficients (at the 2nd order) used in the Moore-Penrose...
------- achieved
#############################################################################
###################### Compute the constraints ##############################
########################## At the 1st order #################################
########################## At the 2nd order #################################
################## Reduce the number of constraints #########################
############### (Solve simultaneously all the orders) #######################
################### And compute the pseudo-inverse ##########################
#############################################################################
The problem is solved
#############################################################################
#### For each shell, list of coefficients (IFC), number of neighbours... ####
#############################################################################
############# List of (first order) IFC for the reference atom= 1
0.000000 0.000000 0.000000
#############################################################################
#### For each shell, list of coefficients (IFC), number of neighbours... ####
#############################################################################
############# List of (second order) IFC for the reference atom= 1
======== NEW SHELL (ishell= 1): There are 1 atoms on this shell at distance= 0.000000
For jatom= 1 ,with type= 1
0.044568 0.000000 0.000000
0.000000 0.044568 0.000000
0.000000 0.000000 0.044568
The components of the vector are: 0.000000 0.000000 0.000000
Trace= 0.133703
======== NEW SHELL (ishell= 2): There are 12 atoms on this shell at distance= 5.399703
For jatom= 2 ,with type= 1
-0.006188 -0.007055 0.000000
-0.007055 -0.006188 0.000000
0.000000 0.000000 0.001595
The components of the vector are: 3.818167 3.818167 0.000000
Trace= -0.010781
For jatom= 3 ,with type= 1
-0.006188 0.000000 -0.007055
0.000000 0.001595 0.000000
-0.007055 0.000000 -0.006188
The components of the vector are: 3.818167 0.000000 3.818167
Trace= -0.010781
For jatom= 5 ,with type= 1
-0.006188 0.007055 0.000000
0.007055 -0.006188 0.000000
0.000000 0.000000 0.001595
The components of the vector are: -3.818167 3.818167 0.000000
Trace= -0.010781
For jatom= 8 ,with type= 1
-0.006188 0.000000 0.007055
0.000000 0.001595 0.000000
0.007055 0.000000 -0.006188
The components of the vector are: -3.818167 0.000000 3.818167
Trace= -0.010781
For jatom= 9 ,with type= 1
0.001595 0.000000 0.000000
0.000000 -0.006188 -0.007055
0.000000 -0.007055 -0.006188
The components of the vector are: 0.000000 3.818167 3.818167
Trace= -0.010781
For jatom= 19 ,with type= 1
-0.006188 0.007055 0.000000
0.007055 -0.006188 0.000000
0.000000 0.000000 0.001595
The components of the vector are: 3.818167 -3.818167 0.000000
Trace= -0.010781
For jatom= 34 ,with type= 1
-0.006188 0.000000 0.007055
0.000000 0.001595 0.000000
0.007055 0.000000 -0.006188
The components of the vector are: 3.818167 0.000000 -3.818167
Trace= -0.010781
For jatom= 38 ,with type= 1
-0.006188 -0.007055 0.000000
-0.007055 -0.006188 0.000000
0.000000 0.000000 0.001595
The components of the vector are: -3.818167 -3.818167 0.000000
Trace= -0.010781
For jatom= 43 ,with type= 1
0.001595 0.000000 0.000000
0.000000 -0.006188 0.007055
0.000000 0.007055 -0.006188
The components of the vector are: 0.000000 -3.818167 3.818167
Trace= -0.010781
For jatom= 59 ,with type= 1
-0.006188 0.000000 -0.007055
0.000000 0.001595 0.000000
-0.007055 0.000000 -0.006188
The components of the vector are: -3.818167 0.000000 -3.818167
Trace= -0.010781
For jatom= 60 ,with type= 1
0.001595 0.000000 0.000000
0.000000 -0.006188 0.007055
0.000000 0.007055 -0.006188
The components of the vector are: 0.000000 3.818167 -3.818167
Trace= -0.010781
For jatom= 101 ,with type= 1
0.001595 0.000000 0.000000
0.000000 -0.006188 -0.007055
0.000000 -0.007055 -0.006188
The components of the vector are: 0.000000 -3.818167 -3.818167
Trace= -0.010781
======== NEW SHELL (ishell= 3): There are 6 atoms on this shell at distance= 7.636333
For jatom= 4 ,with type= 1
-0.000579 0.000000 0.000000
0.000000 0.000955 0.000000
0.000000 0.000000 0.000955
The components of the vector are: -7.636333 0.000000 0.000000
Trace= 0.001331
For jatom= 6 ,with type= 1
0.000955 0.000000 0.000000
0.000000 -0.000579 0.000000
0.000000 0.000000 0.000955
The components of the vector are: 0.000000 7.636333 0.000000
Trace= 0.001331
For jatom= 11 ,with type= 1
0.000955 0.000000 0.000000
0.000000 0.000955 0.000000
0.000000 0.000000 -0.000579
The components of the vector are: 0.000000 0.000000 7.636333
Trace= 0.001331
For jatom= 14 ,with type= 1
-0.000579 0.000000 0.000000
0.000000 0.000955 0.000000
0.000000 0.000000 0.000955
The components of the vector are: 7.636333 0.000000 0.000000
Trace= 0.001331
For jatom= 18 ,with type= 1
0.000955 0.000000 0.000000
0.000000 -0.000579 0.000000
0.000000 0.000000 0.000955
The components of the vector are: 0.000000 -7.636333 0.000000
Trace= 0.001331
For jatom= 32 ,with type= 1
0.000955 0.000000 0.000000
0.000000 0.000955 0.000000
0.000000 0.000000 -0.000579
The components of the vector are: 0.000000 0.000000 -7.636333
Trace= 0.001331
======== NEW SHELL (ishell= 4): There are 24 atoms on this shell at distance= 9.352560
For jatom= 10 ,with type= 1
-0.000306 0.000038 -0.000026
0.000038 0.000006 0.000038
-0.000026 0.000038 -0.000306
The components of the vector are: 3.818167 7.636333 3.818167
Trace= -0.000606
For jatom= 12 ,with type= 1
-0.000306 -0.000026 0.000038
-0.000026 -0.000306 0.000038
0.000038 0.000038 0.000006
The components of the vector are: 3.818167 3.818167 7.636333
Trace= -0.000606
For jatom= 21 ,with type= 1
0.000006 -0.000038 -0.000038
-0.000038 -0.000306 -0.000026
-0.000038 -0.000026 -0.000306
The components of the vector are: -7.636333 3.818167 3.818167
Trace= -0.000606
For jatom= 22 ,with type= 1
-0.000306 -0.000038 0.000026
-0.000038 0.000006 0.000038
0.000026 0.000038 -0.000306
The components of the vector are: -3.818167 7.636333 3.818167
Trace= -0.000606
For jatom= 24 ,with type= 1
-0.000306 -0.000038 -0.000026
-0.000038 0.000006 -0.000038
-0.000026 -0.000038 -0.000306
The components of the vector are: 3.818167 -7.636333 3.818167
Trace= -0.000606
For jatom= 26 ,with type= 1
-0.000306 0.000026 -0.000038
0.000026 -0.000306 0.000038
-0.000038 0.000038 0.000006
The components of the vector are: -3.818167 3.818167 7.636333
Trace= -0.000606
For jatom= 33 ,with type= 1
-0.000306 -0.000026 -0.000038
-0.000026 -0.000306 -0.000038
-0.000038 -0.000038 0.000006
The components of the vector are: 3.818167 3.818167 -7.636333
Trace= -0.000606
For jatom= 39 ,with type= 1
0.000006 0.000038 0.000038
0.000038 -0.000306 -0.000026
0.000038 -0.000026 -0.000306
The components of the vector are: 7.636333 3.818167 3.818167
Trace= -0.000606
For jatom= 42 ,with type= 1
-0.000306 0.000038 0.000026
0.000038 0.000006 -0.000038
0.000026 -0.000038 -0.000306
The components of the vector are: -3.818167 -7.636333 3.818167
Trace= -0.000606
For jatom= 49 ,with type= 1
-0.000306 0.000026 0.000038
0.000026 -0.000306 -0.000038
0.000038 -0.000038 0.000006
The components of the vector are: 3.818167 -3.818167 7.636333
Trace= -0.000606
For jatom= 56 ,with type= 1
-0.000306 0.000026 0.000038
0.000026 -0.000306 -0.000038
0.000038 -0.000038 0.000006
The components of the vector are: -3.818167 3.818167 -7.636333
Trace= -0.000606
For jatom= 61 ,with type= 1
-0.000306 0.000038 0.000026
0.000038 0.000006 -0.000038
0.000026 -0.000038 -0.000306
The components of the vector are: 3.818167 7.636333 -3.818167
Trace= -0.000606
For jatom= 66 ,with type= 1
0.000006 0.000038 -0.000038
0.000038 -0.000306 0.000026
-0.000038 0.000026 -0.000306
The components of the vector are: -7.636333 -3.818167 3.818167
Trace= -0.000606
For jatom= 70 ,with type= 1
-0.000306 -0.000026 -0.000038
-0.000026 -0.000306 -0.000038
-0.000038 -0.000038 0.000006
The components of the vector are: -3.818167 -3.818167 7.636333
Trace= -0.000606
For jatom= 81 ,with type= 1
-0.000306 0.000026 -0.000038
0.000026 -0.000306 0.000038
-0.000038 0.000038 0.000006
The components of the vector are: 3.818167 -3.818167 -7.636333
Trace= -0.000606
For jatom= 83 ,with type= 1
0.000006 -0.000038 0.000038
-0.000038 -0.000306 0.000026
0.000038 0.000026 -0.000306
The components of the vector are: -7.636333 3.818167 -3.818167
Trace= -0.000606
For jatom= 84 ,with type= 1
-0.000306 -0.000038 -0.000026
-0.000038 0.000006 -0.000038
-0.000026 -0.000038 -0.000306
The components of the vector are: -3.818167 7.636333 -3.818167
Trace= -0.000606
For jatom= 86 ,with type= 1
-0.000306 -0.000038 0.000026
-0.000038 0.000006 0.000038
0.000026 0.000038 -0.000306
The components of the vector are: 3.818167 -7.636333 -3.818167
Trace= -0.000606
For jatom= 87 ,with type= 1
0.000006 -0.000038 0.000038
-0.000038 -0.000306 0.000026
0.000038 0.000026 -0.000306
The components of the vector are: 7.636333 -3.818167 3.818167
Trace= -0.000606
For jatom= 96 ,with type= 1
-0.000306 -0.000026 0.000038
-0.000026 -0.000306 0.000038
0.000038 0.000038 0.000006
The components of the vector are: -3.818167 -3.818167 -7.636333
Trace= -0.000606
For jatom= 97 ,with type= 1
0.000006 0.000038 -0.000038
0.000038 -0.000306 0.000026
-0.000038 0.000026 -0.000306
The components of the vector are: 7.636333 3.818167 -3.818167
Trace= -0.000606
For jatom= 100 ,with type= 1
-0.000306 0.000038 -0.000026
0.000038 0.000006 0.000038
-0.000026 0.000038 -0.000306
The components of the vector are: -3.818167 -7.636333 -3.818167
Trace= -0.000606
For jatom= 107 ,with type= 1
0.000006 0.000038 0.000038
0.000038 -0.000306 -0.000026
0.000038 -0.000026 -0.000306
The components of the vector are: -7.636333 -3.818167 -3.818167
Trace= -0.000606
For jatom= 108 ,with type= 1
0.000006 -0.000038 -0.000038
-0.000038 -0.000306 -0.000026
-0.000038 -0.000026 -0.000306
The components of the vector are: 7.636333 -3.818167 -3.818167
Trace= -0.000606
======== NEW SHELL (ishell= 5): There are 12 atoms on this shell at distance=10.799406
For jatom= 16 ,with type= 1
-0.000007 -0.000080 0.000000
-0.000080 -0.000007 0.000000
0.000000 0.000000 0.000199
The components of the vector are: -7.636333 7.636333 0.000000
Trace= 0.000185
For jatom= 25 ,with type= 1
-0.000007 0.000000 -0.000080
0.000000 0.000199 0.000000
-0.000080 0.000000 -0.000007
The components of the vector are: -7.636333 0.000000 7.636333
Trace= 0.000185
For jatom= 27 ,with type= 1
0.000199 0.000000 0.000000
0.000000 -0.000007 0.000080
0.000000 0.000080 -0.000007
The components of the vector are: 0.000000 7.636333 7.636333
Trace= 0.000185
For jatom= 35 ,with type= 1
-0.000007 0.000080 0.000000
0.000080 -0.000007 0.000000
0.000000 0.000000 0.000199
The components of the vector are: 7.636333 7.636333 0.000000
Trace= 0.000185
For jatom= 37 ,with type= 1
-0.000007 0.000080 0.000000
0.000080 -0.000007 0.000000
0.000000 0.000000 0.000199
The components of the vector are: -7.636333 -7.636333 0.000000
Trace= 0.000185
For jatom= 44 ,with type= 1
-0.000007 0.000000 0.000080
0.000000 0.000199 0.000000
0.000080 0.000000 -0.000007
The components of the vector are: 7.636333 0.000000 7.636333
Trace= 0.000185
For jatom= 48 ,with type= 1
0.000199 0.000000 0.000000
0.000000 -0.000007 -0.000080
0.000000 -0.000080 -0.000007
The components of the vector are: 0.000000 -7.636333 7.636333
Trace= 0.000185
For jatom= 55 ,with type= 1
-0.000007 0.000000 0.000080
0.000000 0.000199 0.000000
0.000080 0.000000 -0.000007
The components of the vector are: -7.636333 0.000000 -7.636333
Trace= 0.000185
For jatom= 57 ,with type= 1
0.000199 0.000000 0.000000
0.000000 -0.000007 -0.000080
0.000000 -0.000080 -0.000007
The components of the vector are: 0.000000 7.636333 -7.636333
Trace= 0.000185
For jatom= 62 ,with type= 1
-0.000007 -0.000080 0.000000
-0.000080 -0.000007 0.000000
0.000000 0.000000 0.000199
The components of the vector are: 7.636333 -7.636333 0.000000
Trace= 0.000185
For jatom= 76 ,with type= 1
-0.000007 0.000000 -0.000080
0.000000 0.000199 0.000000
-0.000080 0.000000 -0.000007
The components of the vector are: 7.636333 0.000000 -7.636333
Trace= 0.000185
For jatom= 80 ,with type= 1
0.000199 0.000000 0.000000
0.000000 -0.000007 0.000080
0.000000 0.000080 -0.000007
The components of the vector are: 0.000000 -7.636333 -7.636333
Trace= 0.000185
#############################################################################
############## Compute the phonon spectrum, the DOS, ########################
############## the dynamical matrix and write them ########################
#############################################################################
#############################################################################
################### vibrational Density OF States (vDOS) ####################
#############################################################################
See the vdos.dat and TDEP_PHDOS* files
Write the IFC of TDEP in ifc_out.dat (and ifc_out.nc)
------- achieved
Compute the vDOS
------- achieved
(Please, pay attention to convergency wrt the BZ mesh : the ngqpt2 input variable)
See the dij.dat, omega.dat and eigenvectors files
See also the DDB file
#############################################################################
######################### Elastic constants #################################
################ Bulk and Shear modulus--Sound velocities ###################
#############################################################################
========== Using the formulation proposed by Wallace (using the IFC) =========
Cijkl [in GPa]=
| C11 C12 C13 C14 C15 C16 | 113.760 61.649 61.649 0.000 0.000 0.000
| C21 C22 C23 C24 C25 C26 | 61.649 113.760 61.649 0.000 0.000 0.000
| C31 C32 C33 C34 C35 C36 | 61.649 61.649 113.760 0.000 0.000 0.000
| C41 C42 C43 C44 C45 C46 | = 0.000 0.000 0.000 38.243 0.000 0.000
| C51 C52 C53 C54 C55 C56 | 0.000 0.000 0.000 0.000 38.243 0.000
| C61 C62 C63 C64 C65 C66 | 0.000 0.000 0.000 0.000 0.000 38.243
========== For an Anisotropic Material =======================================
Sijkl [in GPa-1]=
| S11 S12 S13 S14 S15 S16 | 0.014 -0.005 -0.005 0.000 0.000 -0.000
| S21 S22 S23 S24 S25 S26 | -0.005 0.014 -0.005 0.000 0.000 -0.000
| S31 S32 S33 S34 S35 S36 | -0.005 -0.005 0.014 0.000 0.000 -0.000
| S41 S42 S43 S44 S45 S46 | = 0.000 0.000 0.000 0.026 0.000 -0.000
| S51 S52 S53 S54 S55 S56 | 0.000 0.000 0.000 0.000 0.026 -0.000
| S61 S62 S63 S64 S65 S66 | 0.000 0.000 0.000 0.000 0.000 0.026
========== For an Orthotropic Material (see B. M. Lempriere (1968)) ==========
Young modulus E1, E2 and E3 [in GPa]= 70.427 70.427 70.427
Poisson ratio Nu21, Nu31, Nu23, Nu12, Nu13 and Nu32= 0.351 0.351 0.351 0.351 0.351 0.351
Shear modulus G23, G13 and G12 [in GPa]= 38.243 38.243 38.243
Sijkl [in GPa-1]=
| S11 S12 S13 S14 S15 S16 | 0.014 -0.005 -0.005 0.000 0.000 0.000
| S21 S22 S23 S24 S25 S26 | -0.005 0.014 -0.005 0.000 0.000 0.000
| S31 S32 S33 S34 S35 S36 | -0.005 -0.005 0.014 0.000 0.000 0.000
| S41 S42 S43 S44 S45 S46 | = 0.000 0.000 0.000 0.026 0.000 0.000
| S51 S52 S53 S54 S55 S56 | 0.000 0.000 0.000 0.000 0.026 0.000
| S61 S62 S63 S64 S65 S66 | 0.000 0.000 0.000 0.000 0.000 0.026
For density rho [in kg.m-3]= 2715.988
========================= Voigt average (constant strain) ===================
ISOTHERMAL modulus [in GPa]: Bulk Kt= 79.019 and Shear G= 33.368
Average of Young modulus E [in GPa]= 87.752 Lame modulus Lambda [in GPa]= 56.774 and Poisson ratio Nu= 0.315
Velocities [in m.s-1]: compressional Vp= 6743.529 shear Vs= 3505.115 and bulk Vphi= 5393.893
Debye velocity [in m.s-1]= 3922.618 and temperature [in K]= 458.761
========================= Reuss average (constant stress) ===================
ISOTHERMAL modulus [in GPa]: Bulk Kt= 79.019 and Shear G= 32.216
Average of Young modulus E [in GPa]= 85.084 Lame modulus Lambda [in GPa]= 57.542 and Poisson ratio Nu= 0.321
Velocities [in m.s-1]: compressional Vp= 6701.449 shear Vs= 3444.053 and bulk Vphi= 5393.893
Debye velocity [in m.s-1]= 3857.101 and temperature [in K]= 451.098
============================== Hill average =================================
ISOTHERMAL modulus [in GPa]: Bulk Kt= 79.019 and Shear G= 32.792
Average of Young modulus E [in GPa]= 86.421 Lame modulus Lambda [in GPa]= 57.158 and Poisson ratio Nu= 0.318
Velocities [in m.s-1]: compressional Vp= 6722.522 shear Vs= 3474.718 and bulk Vphi= 5393.893
Debye velocity [in m.s-1]= 3890.016 and temperature [in K]= 454.948
========================= Elastic anisotropy =================================
Elastic anisotropy index : A_U= 5*G_V/G_R + K_V/K_R - 6 = 0.179
Bulk anisotropy ratio : A_B= (B_V-B_R)/(B_V+B_R) = 0.000
Shear anisotropy ratio : A_G= (G_V-G_R)/(G_V+G_R) = 0.018
#############################################################################
######################### Energies, errors,... #############################
#############################################################################
Thermodynamic quantities and convergence parameters of THE MODEL,
as a function of the step number (energies in eV/atom and forces in Ha/bohr) :
<U_TDEP> = U_0 + U_1 + U_2
with U_0 = < U_MD - sum_i Phi1 ui - 1/2 sum_ij Phi2 ui uj >
and U_1 = < sum_i Phi1 ui >
and U_2 = < 1/2 sum_ij Phi2 ui uj >
Delta_U = < U_MD - U_TDEP >
Delta_U2= (< (U_MD - U_TDEP)^2 >)**0.5
Delta_F2= (< (F_MD - F_TDEP)^2 >)**0.5
Sigma = (< (F_MD - F_TDEP)^2 >/<F_MD**2>)**0.5
<U_MD> U_0 U_1 U_2 Delta_U Delta_U2 Delta_F2 Sigma
-56.30133 -56.40725 0.00000 0.10592 -0.00000 0.38259 0.00631 0.50615
NOTE : in the harmonic and classical limit (T>>T_Debye), U_2=3/2*kB*T= 0.11633
See the etotMDvsTDEP.dat & fcartMDvsTDEP.dat files
#############################################################################
################# Thermodynamic quantities: Free energy,...##################
#############################################################################
See the thermo.dat file
#############################################################################
######################### CALCULATION COMPLETED #############################
#############################################################################
Suggested references for the acknowledgment of ABINIT usage.
The users of ABINIT have little formal obligations with respect to the ABINIT group
(those specified in the GNU General Public License, http://www.gnu.org/copyleft/gpl.txt).
However, it is common practice in the scientific literature,
to acknowledge the efforts of people that have made the research possible.
In this spirit, please find below suggested citations of work written by ABINIT developers,
corresponding to implementations inside of ABINIT that you have used in the present run.
Note also that it will be of great value to readers of publications presenting these results,
to read papers enabling them to understand the theoretical formalism and details
of the ABINIT implementation.
For information on why they are suggested, see also https://docs.abinit.org/theory/acknowledgments.
[1] a-TDEP: Temperature Dependent Effective Potential for Abinit
-- Lattice dynamic properties including anharmonicity
F. Bottin, J. Bieder and J. Bouchet, Comput. Phys. Comm. 254, 107301 (2020).
Strong suggestion to cite this paper in your publications.
[2] Thermal evolution of vibrational properties of alpha-U
J. Bouchet and F. Bottin, Phys. Rev. B 92, 174108 (2015).
Strong suggestion to cite this paper in your publications.
[3] Lattice dynamics of anharmonic solids from first principles
O. Hellman, I.A. Abrikosov and S.I. Simak, Phys. Rev. B 84, 180301(R) (2011).
[4] Temperature dependent effective potential method for accurate free energy calculations of solids
O. Hellman, P. Steneteg, I.A. Abrikosov and S.I. Simak, Phys. Rev. B 87, 104111 (2013).
This file reproduces all the steps encountered during the execution of atdep. You are strongly adviced to detect all the sequences listed below. The main output file :
- begins with the common header of the ABINIT output files
.Version 3.0 of PHONONS
.Copyright (C) 1998-2022 ABINIT group (FB,JB).
ABINIT comes with ABSOLUTELY NO WARRANTY.
It is free software, and you are welcome to redistribute it
under certain conditions (GNU General Public License,
see ~abinit/COPYING or http://www.gnu.org/copyleft/gpl.txt).
...
- echoes all the input variables included in the input file
#############################################################################
######################### ECHO OF INPUT FILE ################################
#############################################################################
======================= Define the unitcell =================================
brav 7 -3
natom_unitcell 1
...
- computes useful quantities using the available data (the acell of the unitcell,…)
#############################################################################
########################## Computed quantities ##############################
#############################################################################
acell_unitcell= 7.6363332667 7.6363332667 7.6363332667
...
- generates the q-point meshes
#############################################################################
########################## Q points generation #############################
#############################################################################
Generate the BZ path using the Q points defined by default
See the qpt.dat file
- establishes a correspondence between the atoms in the unitcell, the multiplicity, the symmetries and the atoms in the supercell
#############################################################################
###### Find the matching between ideal and average positions ###############
#############################################################################
Determine ideal positions and distances...
Compute average positions...
Search the unitcell basis of atoms in the MD trajectory...
Compare ideal and average positions using PBC...
Write the xred_average.xyz file with ideal and average positions...
Compute cartesian coordinates and forces...
- finds the symmetry operations between atoms and pairs of atoms.
#############################################################################
###################### Find the symetry operations ##########################
#################### (connecting the atoms together) ########################
#############################################################################
Search the matrix transformation going from (k) to (i)...
Search the matrix transformation going from (k,l) to (i,j)...
See the Indsym*.dat files (if debug)
- computes the number of non-zero independent IFC coefficients at the 1st and 2nd order, for each shell of coordination.
#############################################################################
####### FIRST ORDER : find the number of coefficients #######################
#############################################################################
Build the ref1at and Isym1at tables...
Build the Shell1at datatype...
Number of shells= 1
...
#############################################################################
###### SECOND ORDER : find the number of coefficients #######################
#############################################################################
Build the ref2at and Isym2at tables...
Build the Shell2at datatype...
Number of shells= 5
...
- computes the constraints (for the IFC), builds the pseudo-inverse and solves the problem
#############################################################################
###################### Compute the constraints ##############################
########################## At the 1st order #################################
########################## At the 2nd order #################################
...
- lists all the IFC coefficients for each shell, at the 1st and 2nd order
#############################################################################
#### For each shell, list of coefficients (IFC), number of neighbours... ####
#############################################################################
############# List of (first order) IFC for the reference atom= 1
0.000000 0.000000 0.000000
#############################################################################
#### For each shell, list of coefficients (IFC), number of neighbours... ####
#############################################################################
############# List of (second order) IFC for the reference atom= 1
======== NEW SHELL (ishell= 1): There are 1 atoms on this shell at distance= 0.000000
For jatom= 1 ,with type= 1
0.044568 0.000000 0.000000
0.000000 0.044568 0.000000
0.000000 0.000000 0.044568
...
- writes the dynamical matrix, the phonon spectrum and the vibrational density of states (vDOS) in specific files
#############################################################################
############## Compute the phonon spectrum, the DOS, ########################
############## the dynamical matrix and write them ########################
#############################################################################
#############################################################################
################### vibrational Density OF States (vDOS) ####################
...
- echoes the elastic constants and some elastic moduli
#############################################################################
######################### Elastic constants #################################
################ Bulk and Shear modulus--Sound velocities ###################
#############################################################################
========== Using the formulation proposed by Wallace (using the IFC) =========
Cijkl [in GPa]=
| C11 C12 C13 C14 C15 C16 | 113.760 61.649 61.649 0.000 0.000 0.000
| C21 C22 C23 C24 C25 C26 | 61.649 113.760 61.649 0.000 0.000 0.000
| C31 C32 C33 C34 C35 C36 | 61.649 61.649 113.760 0.000 0.000 0.000
...
- computes the energy of the model (TDEP) and some convergence parameters
#############################################################################
######################### Energies, errors,... #############################
#############################################################################
Thermodynamic quantities and convergence parameters of THE MODEL,
as a function of the step number (energies in eV/atom and forces in Ha/bohr) :
<U_TDEP> = U_0 + U_1 + U_2
with U_0 = < U_MD - sum_i Phi1 ui - 1/2 sum_ij Phi2 ui uj >
and U_1 = < sum_i Phi1 ui >
and U_2 = < 1/2 sum_ij Phi2 ui uj >
...
- writes thermodynamic data of the system in a file (see below)
#############################################################################
################# Thermodynamic quantities: Free energy,...##################
#############################################################################
See the thermo.dat file
- finishes with the standard aknowlegment section of ABINIT output files
#############################################################################
######################### CALCULATION COMPLETED #############################
#############################################################################
Suggested references for the acknowledgment of ABINIT usage.
The users of ABINIT have little formal obligations with respect to the ABINIT group
(those specified in the GNU General Public License, http://www.gnu.org/copyleft/gpl.txt).
However, it is common practice in the scientific literature,
to acknowledge the efforts of people that have made the research possible.
...
2.2.2 The phonon frequencies file tatdep1_1omega.dat¶
# Phonon frequencies in THz
1 0.000 0.000 0.000
2 0.093 0.093 0.160
3 0.186 0.186 0.320
4 0.278 0.278 0.480
5 0.371 0.371 0.640
6 0.464 0.464 0.800
7 0.556 0.556 0.959
8 0.649 0.649 1.118
9 0.741 0.741 1.277
10 0.833 0.833 1.436
11 0.925 0.925 1.593
12 1.017 1.017 1.751
13 1.109 1.109 1.908
14 1.200 1.200 2.064
15 1.291 1.291 2.220
16 1.382 1.382 2.375
17 1.472 1.472 2.529
18 1.562 1.562 2.683
19 1.652 1.652 2.836
20 1.742 1.742 2.988
21 1.831 1.831 3.139
22 1.920 1.920 3.289
23 2.008 2.008 3.438
24 2.096 2.096 3.586
25 2.183 2.183 3.733
26 2.270 2.270 3.879
27 2.356 2.356 4.024
28 2.442 2.442 4.168
29 2.528 2.528 4.310
30 2.612 2.612 4.451
31 2.697 2.697 4.591
32 2.780 2.780 4.730
33 2.863 2.863 4.867
34 2.946 2.946 5.003
35 3.027 3.027 5.137
36 3.108 3.108 5.270
37 3.189 3.189 5.401
38 3.268 3.268 5.531
39 3.347 3.347 5.659
40 3.425 3.425 5.786
41 3.502 3.502 5.911
42 3.579 3.579 6.034
43 3.655 3.655 6.156
44 3.729 3.729 6.276
45 3.803 3.803 6.394
46 3.877 3.877 6.511
47 3.949 3.949 6.626
48 4.020 4.020 6.739
49 4.090 4.090 6.850
50 4.160 4.160 6.959
51 4.228 4.228 7.066
52 4.296 4.296 7.172
53 4.362 4.362 7.275
54 4.427 4.427 7.377
55 4.492 4.492 7.477
56 4.555 4.555 7.575
57 4.617 4.617 7.670
58 4.678 4.678 7.764
59 4.738 4.738 7.856
60 4.797 4.797 7.946
61 4.854 4.854 8.033
62 4.911 4.911 8.119
63 4.966 4.966 8.203
64 5.020 5.020 8.284
65 5.073 5.073 8.364
66 5.125 5.125 8.441
67 5.175 5.175 8.516
68 5.224 5.224 8.589
69 5.272 5.272 8.661
70 5.318 5.318 8.729
71 5.363 5.363 8.796
72 5.407 5.407 8.861
73 5.449 5.449 8.923
74 5.490 5.490 8.984
75 5.530 5.530 9.042
76 5.568 5.568 9.098
77 5.605 5.605 9.152
78 5.641 5.641 9.203
79 5.675 5.675 9.253
80 5.707 5.707 9.300
81 5.739 5.739 9.345
82 5.768 5.768 9.388
83 5.797 5.797 9.429
84 5.823 5.823 9.468
85 5.849 5.849 9.504
86 5.873 5.873 9.538
87 5.895 5.895 9.570
88 5.916 5.916 9.600
89 5.935 5.935 9.627
90 5.953 5.953 9.653
91 5.969 5.969 9.676
92 5.984 5.984 9.697
93 5.997 5.997 9.716
94 6.009 6.009 9.732
95 6.019 6.019 9.747
96 6.027 6.027 9.759
97 6.034 6.034 9.769
98 6.040 6.040 9.776
99 6.044 6.044 9.782
100 6.046 6.046 9.785
101 6.047 6.047 9.786
102 6.047 6.047 9.785
103 6.047 6.049 9.782
104 6.048 6.051 9.776
105 6.050 6.054 9.767
106 6.051 6.059 9.756
107 6.053 6.064 9.743
108 6.056 6.070 9.728
109 6.058 6.077 9.710
110 6.061 6.086 9.690
111 6.064 6.095 9.668
112 6.068 6.105 9.643
113 6.072 6.117 9.616
114 6.076 6.130 9.587
115 6.080 6.144 9.556
116 6.085 6.159 9.523
117 6.089 6.175 9.488
118 6.094 6.192 9.450
119 6.099 6.211 9.411
120 6.105 6.231 9.370
121 6.110 6.253 9.327
122 6.116 6.276 9.283
123 6.121 6.300 9.236
124 6.127 6.325 9.188
125 6.132 6.353 9.139
126 6.138 6.381 9.088
127 6.144 6.411 9.035
128 6.150 6.443 8.981
129 6.155 6.476 8.926
130 6.161 6.510 8.870
131 6.166 6.546 8.812
132 6.171 6.584 8.754
133 6.177 6.623 8.694
134 6.182 6.664 8.634
135 6.187 6.706 8.573
136 6.191 6.750 8.511
137 6.196 6.795 8.449
138 6.200 6.841 8.386
139 6.204 6.889 8.322
140 6.208 6.939 8.258
141 6.211 6.989 8.194
142 6.214 7.041 8.130
143 6.217 7.095 8.066
144 6.220 7.149 8.002
145 6.222 7.205 7.937
146 6.224 7.261 7.873
147 6.225 7.319 7.810
148 6.227 7.378 7.746
149 6.228 7.437 7.683
150 6.228 7.498 7.621
151 6.228 7.559 7.559
152 6.228 7.498 7.621
153 6.228 7.437 7.683
154 6.227 7.378 7.746
155 6.225 7.319 7.810
156 6.224 7.261 7.873
157 6.222 7.205 7.937
158 6.220 7.149 8.002
159 6.217 7.095 8.066
160 6.214 7.041 8.130
161 6.211 6.989 8.194
162 6.208 6.939 8.258
163 6.204 6.889 8.322
164 6.200 6.841 8.386
165 6.196 6.795 8.449
166 6.191 6.750 8.511
167 6.187 6.706 8.573
168 6.182 6.664 8.634
169 6.177 6.623 8.694
170 6.171 6.584 8.754
171 6.166 6.546 8.812
172 6.161 6.510 8.870
173 6.155 6.476 8.926
174 6.150 6.443 8.981
175 6.144 6.411 9.035
176 6.138 6.381 9.088
177 6.132 6.353 9.139
178 6.127 6.325 9.188
179 6.121 6.300 9.236
180 6.116 6.276 9.283
181 6.110 6.253 9.327
182 6.105 6.231 9.370
183 6.099 6.211 9.411
184 6.094 6.192 9.450
185 6.089 6.175 9.488
186 6.085 6.159 9.523
187 6.080 6.144 9.556
188 6.076 6.130 9.587
189 6.072 6.117 9.616
190 6.068 6.105 9.643
191 6.064 6.095 9.668
192 6.061 6.086 9.690
193 6.058 6.077 9.710
194 6.056 6.070 9.728
195 6.053 6.064 9.743
196 6.051 6.059 9.756
197 6.050 6.054 9.767
198 6.048 6.051 9.776
199 6.047 6.049 9.782
200 6.047 6.047 9.785
201 6.047 6.047 9.786
202 6.046 6.048 9.785
203 6.044 6.052 9.782
204 6.040 6.059 9.775
205 6.035 6.069 9.767
206 6.029 6.081 9.756
207 6.021 6.096 9.742
208 6.012 6.113 9.727
209 6.002 6.133 9.709
210 5.990 6.155 9.688
211 5.977 6.180 9.665
212 5.962 6.207 9.640
213 5.946 6.237 9.613
214 5.929 6.268 9.583
215 5.911 6.302 9.551
216 5.891 6.337 9.518
217 5.870 6.375 9.482
218 5.848 6.414 9.444
219 5.824 6.454 9.404
220 5.800 6.497 9.362
221 5.774 6.540 9.318
222 5.747 6.585 9.272
223 5.719 6.631 9.225
224 5.690 6.678 9.176
225 5.660 6.726 9.125
226 5.628 6.775 9.073
227 5.596 6.824 9.019
228 5.563 6.874 8.964
229 5.529 6.924 8.907
230 5.494 6.975 8.849
231 5.459 7.026 8.790
232 5.422 7.077 8.729
233 5.385 7.128 8.668
234 5.347 7.178 8.605
235 5.309 7.229 8.541
236 5.269 7.279 8.477
237 5.230 7.328 8.412
238 5.190 7.376 8.346
239 5.150 7.424 8.279
240 5.109 7.470 8.212
241 5.067 7.516 8.144
242 5.026 7.561 8.076
243 4.984 7.605 8.007
244 4.942 7.647 7.937
245 4.899 7.688 7.868
246 4.856 7.728 7.797
247 4.814 7.727 7.766
248 4.771 7.656 7.803
249 4.728 7.584 7.838
250 4.685 7.513 7.871
251 4.642 7.441 7.902
252 4.599 7.369 7.932
253 4.556 7.297 7.959
254 4.513 7.225 7.985
255 4.470 7.153 8.008
256 4.428 7.081 8.029
257 4.386 7.008 8.048
258 4.344 6.936 8.064
259 4.302 6.864 8.079
260 4.260 6.791 8.090
261 4.219 6.718 8.099
262 4.178 6.646 8.106
263 4.137 6.573 8.110
264 4.097 6.501 8.111
265 4.057 6.428 8.110
266 4.017 6.355 8.106
267 3.978 6.282 8.099
268 3.939 6.210 8.089
269 3.900 6.137 8.076
270 3.862 6.064 8.061
271 3.824 5.991 8.042
272 3.786 5.918 8.021
273 3.748 5.844 7.996
274 3.711 5.771 7.969
275 3.674 5.697 7.939
276 3.637 5.624 7.905
277 3.600 5.550 7.869
278 3.563 5.476 7.829
279 3.527 5.401 7.786
280 3.490 5.327 7.741
281 3.454 5.252 7.692
282 3.417 5.177 7.640
283 3.380 5.101 7.585
284 3.344 5.025 7.527
285 3.307 4.949 7.465
286 3.269 4.873 7.401
287 3.232 4.796 7.334
288 3.194 4.719 7.263
289 3.156 4.641 7.190
290 3.118 4.563 7.113
291 3.079 4.485 7.034
292 3.039 4.406 6.951
293 2.999 4.327 6.866
294 2.959 4.247 6.778
295 2.917 4.167 6.686
296 2.875 4.086 6.592
297 2.833 4.005 6.495
298 2.790 3.924 6.395
299 2.745 3.842 6.293
300 2.700 3.759 6.187
301 2.655 3.676 6.079
302 2.608 3.593 5.969
303 2.560 3.509 5.855
304 2.512 3.425 5.739
305 2.462 3.340 5.621
306 2.412 3.255 5.500
307 2.361 3.170 5.377
308 2.308 3.084 5.251
309 2.255 2.998 5.123
310 2.200 2.911 4.992
311 2.145 2.824 4.860
312 2.088 2.736 4.725
313 2.031 2.649 4.588
314 1.972 2.560 4.450
315 1.912 2.472 4.309
316 1.852 2.383 4.166
317 1.790 2.294 4.021
318 1.727 2.204 3.875
319 1.663 2.115 3.727
320 1.599 2.025 3.577
321 1.533 1.934 3.425
322 1.467 1.844 3.272
323 1.399 1.753 3.118
324 1.331 1.662 2.962
325 1.262 1.571 2.805
326 1.192 1.479 2.647
327 1.121 1.388 2.487
328 1.050 1.296 2.326
329 0.978 1.204 2.164
330 0.905 1.112 2.002
331 0.832 1.020 1.838
332 0.758 0.927 1.674
333 0.684 0.835 1.508
334 0.609 0.742 1.343
335 0.534 0.650 1.176
336 0.458 0.557 1.009
337 0.382 0.464 0.842
338 0.306 0.372 0.674
339 0.230 0.279 0.506
340 0.153 0.186 0.337
341 0.077 0.093 0.169
342 0.000 0.000 0.000
343 0.083 0.083 0.172
344 0.166 0.166 0.345
345 0.249 0.249 0.517
346 0.331 0.331 0.689
347 0.414 0.414 0.861
348 0.496 0.496 1.032
349 0.578 0.578 1.203
350 0.659 0.659 1.374
351 0.740 0.740 1.544
352 0.820 0.820 1.714
353 0.900 0.900 1.883
354 0.979 0.979 2.051
355 1.058 1.058 2.219
356 1.135 1.135 2.386
357 1.212 1.212 2.552
358 1.288 1.288 2.717
359 1.364 1.364 2.881
360 1.438 1.438 3.044
361 1.511 1.511 3.206
362 1.584 1.584 3.367
363 1.655 1.655 3.526
364 1.725 1.725 3.685
365 1.794 1.794 3.842
366 1.862 1.862 3.998
367 1.929 1.929 4.152
368 1.994 1.994 4.305
369 2.058 2.058 4.456
370 2.121 2.121 4.606
371 2.183 2.183 4.754
372 2.243 2.243 4.901
373 2.302 2.302 5.045
374 2.359 2.359 5.188
375 2.415 2.415 5.330
376 2.470 2.470 5.469
377 2.523 2.523 5.606
378 2.574 2.574 5.742
379 2.625 2.625 5.875
380 2.673 2.673 6.007
381 2.721 2.721 6.136
382 2.767 2.767 6.264
383 2.811 2.811 6.389
384 2.854 2.854 6.512
385 2.895 2.895 6.632
386 2.935 2.935 6.751
387 2.973 2.973 6.867
388 3.010 3.010 6.981
389 3.046 3.046 7.092
390 3.080 3.080 7.201
391 3.113 3.113 7.308
392 3.144 3.144 7.412
393 3.174 3.174 7.513
394 3.203 3.203 7.612
395 3.230 3.230 7.709
396 3.256 3.256 7.803
397 3.281 3.281 7.894
398 3.305 3.305 7.983
399 3.327 3.327 8.069
400 3.348 3.348 8.152
401 3.368 3.368 8.233
402 3.387 3.387 8.310
403 3.405 3.405 8.386
404 3.422 3.422 8.458
405 3.437 3.437 8.527
406 3.452 3.452 8.594
407 3.466 3.466 8.658
408 3.479 3.479 8.719
409 3.491 3.491 8.777
410 3.502 3.502 8.832
411 3.512 3.512 8.884
412 3.522 3.522 8.934
413 3.531 3.531 8.980
414 3.539 3.539 9.024
415 3.546 3.546 9.064
416 3.553 3.553 9.102
417 3.559 3.559 9.136
418 3.565 3.565 9.168
419 3.569 3.569 9.197
420 3.574 3.574 9.222
421 3.577 3.577 9.245
422 3.581 3.581 9.265
423 3.583 3.583 9.281
424 3.585 3.585 9.295
425 3.587 3.587 9.306
426 3.588 3.588 9.313
427 3.589 3.589 9.318
428 3.589 3.589 9.319
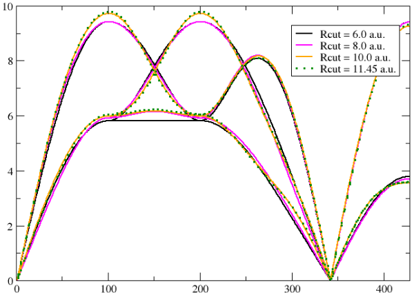
You can plot the phonon spectrum. If you use the xmgrace tool, launch:
xmgrace -nxy tatdep1_1omega.dat
You should get this picture :

On the Y-axis, you have the frequencies (in THz, see the input file). On the X-axis, you have the q-points along a path in the Brillouin Zone (BZ). This one is defined by default and depends on the Bravais lattice.
Note
The path along the BZ can be changed using the bzpath input variable.
The BZ boundaries and all the q-points included in the path are available in the tatdep1_1qpt.dat file :
Generate the BZ path using the Q points defined by default In reduced coordinates: G 0.00000 0.00000 0.00000 X 0.50000 0.00000 0.50000 W 0.50000 0.25000 0.75000 Xp 0.50000 0.50000 1.00000 K 0.37500 0.37500 0.75000 G 0.00000 0.00000 0.00000 L 0.50000 0.50000 0.50000 In cartesian coordinates: G 0.00000 0.00000 0.00000 X 0.00000 0.13095 0.00000 W 0.06548 0.13095 0.00000 Xp 0.13095 0.13095 0.00000 K 0.09821 0.09821 0.00000 G 0.00000 0.00000 0.00000 L 0.06548 0.06548 0.06548 Using gprimt= -1.00000 1.00000 1.00000 1.00000 -1.00000 1.00000 1.00000 1.00000 -1.00000 The number of points along each direction in the BZ= G -X 100 X -W 50 W -Xp 50 Xp-K 35 K -G 106 G -L 86 Q-points path (in reduced coordinates) and (in cartesian coordinates)= 1 0.00000 0.00000 0.00000 0.00000 0.00000 0.00000 2 0.00500 0.00000 0.00500 0.00000 0.00131 0.00000 3 0.01000 0.00000 0.01000 0.00000 0.00262 0.00000 4 0.01500 0.00000 0.01500 0.00000 0.00393 0.00000 5 0.02000 0.00000 0.02000 0.00000 0.00524 0.00000 6 0.02500 0.00000 0.02500 0.00000 0.00655 0.00000 7 0.03000 0.00000 0.03000 0.00000 0.00786 0.00000 8 0.03500 0.00000 0.03500 0.00000 0.00917 0.00000 9 0.04000 0.00000 0.04000 0.00000 0.01048 0.00000 10 0.04500 0.00000 0.04500 0.00000 0.01179 0.00000 11 0.05000 0.00000 0.05000 0.00000 0.01310 0.00000 12 0.05500 0.00000 0.05500 0.00000 0.01440 0.00000 13 0.06000 0.00000 0.06000 0.00000 0.01571 0.00000 14 0.06500 0.00000 0.06500 0.00000 0.01702 0.00000 15 0.07000 0.00000 0.07000 0.00000 0.01833 0.00000 16 0.07500 0.00000 0.07500 0.00000 0.01964 0.00000 17 0.08000 0.00000 0.08000 0.00000 0.02095 0.00000 18 0.08500 0.00000 0.08500 0.00000 0.02226 0.00000 19 0.09000 0.00000 0.09000 0.00000 0.02357 0.00000 20 0.09500 0.00000 0.09500 0.00000 0.02488 0.00000 21 0.10000 0.00000 0.10000 0.00000 0.02619 0.00000 22 0.10500 0.00000 0.10500 0.00000 0.02750 0.00000 23 0.11000 0.00000 0.11000 0.00000 0.02881 0.00000 24 0.11500 0.00000 0.11500 0.00000 0.03012 0.00000 25 0.12000 0.00000 0.12000 0.00000 0.03143 0.00000 26 0.12500 0.00000 0.12500 0.00000 0.03274 0.00000 27 0.13000 0.00000 0.13000 0.00000 0.03405 0.00000 28 0.13500 0.00000 0.13500 0.00000 0.03536 0.00000 29 0.14000 0.00000 0.14000 0.00000 0.03667 0.00000 30 0.14500 0.00000 0.14500 0.00000 0.03798 0.00000 31 0.15000 0.00000 0.15000 0.00000 0.03929 0.00000 32 0.15500 0.00000 0.15500 0.00000 0.04060 0.00000 33 0.16000 0.00000 0.16000 0.00000 0.04190 0.00000 34 0.16500 0.00000 0.16500 0.00000 0.04321 0.00000 35 0.17000 0.00000 0.17000 0.00000 0.04452 0.00000 36 0.17500 0.00000 0.17500 0.00000 0.04583 0.00000 37 0.18000 0.00000 0.18000 0.00000 0.04714 0.00000 38 0.18500 0.00000 0.18500 0.00000 0.04845 0.00000 39 0.19000 0.00000 0.19000 0.00000 0.04976 0.00000 40 0.19500 0.00000 0.19500 0.00000 0.05107 0.00000 41 0.20000 0.00000 0.20000 0.00000 0.05238 0.00000 42 0.20500 0.00000 0.20500 0.00000 0.05369 0.00000 43 0.21000 0.00000 0.21000 0.00000 0.05500 0.00000 44 0.21500 0.00000 0.21500 0.00000 0.05631 0.00000 45 0.22000 0.00000 0.22000 0.00000 0.05762 0.00000 46 0.22500 0.00000 0.22500 0.00000 0.05893 0.00000 47 0.23000 0.00000 0.23000 0.00000 0.06024 0.00000 48 0.23500 0.00000 0.23500 0.00000 0.06155 0.00000 49 0.24000 0.00000 0.24000 0.00000 0.06286 0.00000 50 0.24500 0.00000 0.24500 0.00000 0.06417 0.00000 51 0.25000 0.00000 0.25000 0.00000 0.06548 0.00000 52 0.25500 0.00000 0.25500 0.00000 0.06679 0.00000 53 0.26000 0.00000 0.26000 0.00000 0.06810 0.00000 54 0.26500 0.00000 0.26500 0.00000 0.06941 0.00000 55 0.27000 0.00000 0.27000 0.00000 0.07071 0.00000 56 0.27500 0.00000 0.27500 0.00000 0.07202 0.00000 57 0.28000 0.00000 0.28000 0.00000 0.07333 0.00000 58 0.28500 0.00000 0.28500 0.00000 0.07464 0.00000 59 0.29000 0.00000 0.29000 0.00000 0.07595 0.00000 60 0.29500 0.00000 0.29500 0.00000 0.07726 0.00000 61 0.30000 0.00000 0.30000 0.00000 0.07857 0.00000 62 0.30500 0.00000 0.30500 0.00000 0.07988 0.00000 63 0.31000 0.00000 0.31000 0.00000 0.08119 0.00000 64 0.31500 0.00000 0.31500 0.00000 0.08250 0.00000 65 0.32000 0.00000 0.32000 0.00000 0.08381 0.00000 66 0.32500 0.00000 0.32500 0.00000 0.08512 0.00000 67 0.33000 0.00000 0.33000 0.00000 0.08643 0.00000 68 0.33500 0.00000 0.33500 0.00000 0.08774 0.00000 69 0.34000 0.00000 0.34000 0.00000 0.08905 0.00000 70 0.34500 0.00000 0.34500 0.00000 0.09036 0.00000 71 0.35000 0.00000 0.35000 0.00000 0.09167 0.00000 72 0.35500 0.00000 0.35500 0.00000 0.09298 0.00000 73 0.36000 0.00000 0.36000 0.00000 0.09429 0.00000 74 0.36500 0.00000 0.36500 0.00000 0.09560 0.00000 75 0.37000 0.00000 0.37000 0.00000 0.09691 0.00000 76 0.37500 0.00000 0.37500 0.00000 0.09821 0.00000 77 0.38000 0.00000 0.38000 0.00000 0.09952 0.00000 78 0.38500 0.00000 0.38500 0.00000 0.10083 0.00000 79 0.39000 0.00000 0.39000 0.00000 0.10214 0.00000 80 0.39500 0.00000 0.39500 0.00000 0.10345 0.00000 81 0.40000 0.00000 0.40000 0.00000 0.10476 0.00000 82 0.40500 0.00000 0.40500 0.00000 0.10607 0.00000 83 0.41000 0.00000 0.41000 0.00000 0.10738 0.00000 84 0.41500 0.00000 0.41500 0.00000 0.10869 0.00000 85 0.42000 0.00000 0.42000 0.00000 0.11000 0.00000 86 0.42500 0.00000 0.42500 0.00000 0.11131 0.00000 87 0.43000 0.00000 0.43000 0.00000 0.11262 0.00000 88 0.43500 0.00000 0.43500 0.00000 0.11393 0.00000 89 0.44000 0.00000 0.44000 0.00000 0.11524 0.00000 90 0.44500 0.00000 0.44500 0.00000 0.11655 0.00000 91 0.45000 0.00000 0.45000 0.00000 0.11786 0.00000 92 0.45500 0.00000 0.45500 0.00000 0.11917 0.00000 93 0.46000 0.00000 0.46000 0.00000 0.12048 0.00000 94 0.46500 0.00000 0.46500 0.00000 0.12179 0.00000 95 0.47000 0.00000 0.47000 0.00000 0.12310 0.00000 96 0.47500 0.00000 0.47500 0.00000 0.12441 0.00000 97 0.48000 0.00000 0.48000 0.00000 0.12571 0.00000 98 0.48500 0.00000 0.48500 0.00000 0.12702 0.00000 99 0.49000 0.00000 0.49000 0.00000 0.12833 0.00000 100 0.49500 0.00000 0.49500 0.00000 0.12964 0.00000 101 0.50000 0.00000 0.50000 0.00000 0.13095 0.00000 102 0.50000 0.00500 0.50500 0.00131 0.13095 0.00000 103 0.50000 0.01000 0.51000 0.00262 0.13095 0.00000 104 0.50000 0.01500 0.51500 0.00393 0.13095 0.00000 105 0.50000 0.02000 0.52000 0.00524 0.13095 0.00000 106 0.50000 0.02500 0.52500 0.00655 0.13095 0.00000 107 0.50000 0.03000 0.53000 0.00786 0.13095 0.00000 108 0.50000 0.03500 0.53500 0.00917 0.13095 0.00000 109 0.50000 0.04000 0.54000 0.01048 0.13095 0.00000 110 0.50000 0.04500 0.54500 0.01179 0.13095 0.00000 111 0.50000 0.05000 0.55000 0.01310 0.13095 0.00000 112 0.50000 0.05500 0.55500 0.01440 0.13095 0.00000 113 0.50000 0.06000 0.56000 0.01571 0.13095 0.00000 114 0.50000 0.06500 0.56500 0.01702 0.13095 0.00000 115 0.50000 0.07000 0.57000 0.01833 0.13095 0.00000 116 0.50000 0.07500 0.57500 0.01964 0.13095 0.00000 117 0.50000 0.08000 0.58000 0.02095 0.13095 0.00000 118 0.50000 0.08500 0.58500 0.02226 0.13095 0.00000 119 0.50000 0.09000 0.59000 0.02357 0.13095 0.00000 120 0.50000 0.09500 0.59500 0.02488 0.13095 0.00000 121 0.50000 0.10000 0.60000 0.02619 0.13095 0.00000 122 0.50000 0.10500 0.60500 0.02750 0.13095 0.00000 123 0.50000 0.11000 0.61000 0.02881 0.13095 0.00000 124 0.50000 0.11500 0.61500 0.03012 0.13095 0.00000 125 0.50000 0.12000 0.62000 0.03143 0.13095 0.00000 126 0.50000 0.12500 0.62500 0.03274 0.13095 0.00000 127 0.50000 0.13000 0.63000 0.03405 0.13095 0.00000 128 0.50000 0.13500 0.63500 0.03536 0.13095 0.00000 129 0.50000 0.14000 0.64000 0.03667 0.13095 0.00000 130 0.50000 0.14500 0.64500 0.03798 0.13095 0.00000 131 0.50000 0.15000 0.65000 0.03929 0.13095 0.00000 132 0.50000 0.15500 0.65500 0.04060 0.13095 0.00000 133 0.50000 0.16000 0.66000 0.04190 0.13095 0.00000 134 0.50000 0.16500 0.66500 0.04321 0.13095 0.00000 135 0.50000 0.17000 0.67000 0.04452 0.13095 0.00000 136 0.50000 0.17500 0.67500 0.04583 0.13095 0.00000 137 0.50000 0.18000 0.68000 0.04714 0.13095 0.00000 138 0.50000 0.18500 0.68500 0.04845 0.13095 0.00000 139 0.50000 0.19000 0.69000 0.04976 0.13095 0.00000 140 0.50000 0.19500 0.69500 0.05107 0.13095 0.00000 141 0.50000 0.20000 0.70000 0.05238 0.13095 0.00000 142 0.50000 0.20500 0.70500 0.05369 0.13095 0.00000 143 0.50000 0.21000 0.71000 0.05500 0.13095 0.00000 144 0.50000 0.21500 0.71500 0.05631 0.13095 0.00000 145 0.50000 0.22000 0.72000 0.05762 0.13095 0.00000 146 0.50000 0.22500 0.72500 0.05893 0.13095 0.00000 147 0.50000 0.23000 0.73000 0.06024 0.13095 0.00000 148 0.50000 0.23500 0.73500 0.06155 0.13095 0.00000 149 0.50000 0.24000 0.74000 0.06286 0.13095 0.00000 150 0.50000 0.24500 0.74500 0.06417 0.13095 0.00000 151 0.50000 0.25000 0.75000 0.06548 0.13095 0.00000 152 0.50000 0.25500 0.75500 0.06679 0.13095 0.00000 153 0.50000 0.26000 0.76000 0.06810 0.13095 0.00000 154 0.50000 0.26500 0.76500 0.06941 0.13095 0.00000 155 0.50000 0.27000 0.77000 0.07071 0.13095 0.00000 156 0.50000 0.27500 0.77500 0.07202 0.13095 0.00000 157 0.50000 0.28000 0.78000 0.07333 0.13095 0.00000 158 0.50000 0.28500 0.78500 0.07464 0.13095 0.00000 159 0.50000 0.29000 0.79000 0.07595 0.13095 0.00000 160 0.50000 0.29500 0.79500 0.07726 0.13095 0.00000 161 0.50000 0.30000 0.80000 0.07857 0.13095 0.00000 162 0.50000 0.30500 0.80500 0.07988 0.13095 0.00000 163 0.50000 0.31000 0.81000 0.08119 0.13095 0.00000 164 0.50000 0.31500 0.81500 0.08250 0.13095 0.00000 165 0.50000 0.32000 0.82000 0.08381 0.13095 0.00000 166 0.50000 0.32500 0.82500 0.08512 0.13095 0.00000 167 0.50000 0.33000 0.83000 0.08643 0.13095 0.00000 168 0.50000 0.33500 0.83500 0.08774 0.13095 0.00000 169 0.50000 0.34000 0.84000 0.08905 0.13095 0.00000 170 0.50000 0.34500 0.84500 0.09036 0.13095 0.00000 171 0.50000 0.35000 0.85000 0.09167 0.13095 0.00000 172 0.50000 0.35500 0.85500 0.09298 0.13095 0.00000 173 0.50000 0.36000 0.86000 0.09429 0.13095 0.00000 174 0.50000 0.36500 0.86500 0.09560 0.13095 0.00000 175 0.50000 0.37000 0.87000 0.09691 0.13095 0.00000 176 0.50000 0.37500 0.87500 0.09821 0.13095 0.00000 177 0.50000 0.38000 0.88000 0.09952 0.13095 0.00000 178 0.50000 0.38500 0.88500 0.10083 0.13095 0.00000 179 0.50000 0.39000 0.89000 0.10214 0.13095 0.00000 180 0.50000 0.39500 0.89500 0.10345 0.13095 0.00000 181 0.50000 0.40000 0.90000 0.10476 0.13095 0.00000 182 0.50000 0.40500 0.90500 0.10607 0.13095 0.00000 183 0.50000 0.41000 0.91000 0.10738 0.13095 0.00000 184 0.50000 0.41500 0.91500 0.10869 0.13095 0.00000 185 0.50000 0.42000 0.92000 0.11000 0.13095 0.00000 186 0.50000 0.42500 0.92500 0.11131 0.13095 0.00000 187 0.50000 0.43000 0.93000 0.11262 0.13095 0.00000 188 0.50000 0.43500 0.93500 0.11393 0.13095 0.00000 189 0.50000 0.44000 0.94000 0.11524 0.13095 0.00000 190 0.50000 0.44500 0.94500 0.11655 0.13095 0.00000 191 0.50000 0.45000 0.95000 0.11786 0.13095 0.00000 192 0.50000 0.45500 0.95500 0.11917 0.13095 0.00000 193 0.50000 0.46000 0.96000 0.12048 0.13095 0.00000 194 0.50000 0.46500 0.96500 0.12179 0.13095 0.00000 195 0.50000 0.47000 0.97000 0.12310 0.13095 0.00000 196 0.50000 0.47500 0.97500 0.12441 0.13095 0.00000 197 0.50000 0.48000 0.98000 0.12571 0.13095 0.00000 198 0.50000 0.48500 0.98500 0.12702 0.13095 0.00000 199 0.50000 0.49000 0.99000 0.12833 0.13095 0.00000 200 0.50000 0.49500 0.99500 0.12964 0.13095 0.00000 201 0.50000 0.50000 1.00000 0.13095 0.13095 0.00000 202 0.49643 0.49643 0.99286 0.13002 0.13002 0.00000 203 0.49286 0.49286 0.98571 0.12908 0.12908 0.00000 204 0.48929 0.48929 0.97857 0.12815 0.12815 0.00000 205 0.48571 0.48571 0.97143 0.12721 0.12721 0.00000 206 0.48214 0.48214 0.96429 0.12628 0.12628 0.00000 207 0.47857 0.47857 0.95714 0.12534 0.12534 0.00000 208 0.47500 0.47500 0.95000 0.12441 0.12441 0.00000 209 0.47143 0.47143 0.94286 0.12347 0.12347 0.00000 210 0.46786 0.46786 0.93571 0.12253 0.12253 0.00000 211 0.46429 0.46429 0.92857 0.12160 0.12160 0.00000 212 0.46071 0.46071 0.92143 0.12066 0.12066 0.00000 213 0.45714 0.45714 0.91429 0.11973 0.11973 0.00000 214 0.45357 0.45357 0.90714 0.11879 0.11879 0.00000 215 0.45000 0.45000 0.90000 0.11786 0.11786 0.00000 216 0.44643 0.44643 0.89286 0.11692 0.11692 0.00000 217 0.44286 0.44286 0.88571 0.11599 0.11599 0.00000 218 0.43929 0.43929 0.87857 0.11505 0.11505 0.00000 219 0.43571 0.43571 0.87143 0.11412 0.11412 0.00000 220 0.43214 0.43214 0.86429 0.11318 0.11318 0.00000 221 0.42857 0.42857 0.85714 0.11225 0.11225 0.00000 222 0.42500 0.42500 0.85000 0.11131 0.11131 0.00000 223 0.42143 0.42143 0.84286 0.11037 0.11037 0.00000 224 0.41786 0.41786 0.83571 0.10944 0.10944 0.00000 225 0.41429 0.41429 0.82857 0.10850 0.10850 0.00000 226 0.41071 0.41071 0.82143 0.10757 0.10757 0.00000 227 0.40714 0.40714 0.81429 0.10663 0.10663 0.00000 228 0.40357 0.40357 0.80714 0.10570 0.10570 0.00000 229 0.40000 0.40000 0.80000 0.10476 0.10476 0.00000 230 0.39643 0.39643 0.79286 0.10383 0.10383 0.00000 231 0.39286 0.39286 0.78571 0.10289 0.10289 0.00000 232 0.38929 0.38929 0.77857 0.10196 0.10196 0.00000 233 0.38571 0.38571 0.77143 0.10102 0.10102 0.00000 234 0.38214 0.38214 0.76429 0.10009 0.10009 0.00000 235 0.37857 0.37857 0.75714 0.09915 0.09915 0.00000 236 0.37500 0.37500 0.75000 0.09821 0.09821 0.00000 237 0.37146 0.37146 0.74292 0.09729 0.09729 0.00000 238 0.36792 0.36792 0.73585 0.09636 0.09636 0.00000 239 0.36439 0.36439 0.72877 0.09544 0.09544 0.00000 240 0.36085 0.36085 0.72170 0.09451 0.09451 0.00000 241 0.35731 0.35731 0.71462 0.09358 0.09358 0.00000 242 0.35377 0.35377 0.70755 0.09266 0.09266 0.00000 243 0.35024 0.35024 0.70047 0.09173 0.09173 0.00000 244 0.34670 0.34670 0.69340 0.09080 0.09080 0.00000 245 0.34316 0.34316 0.68632 0.08988 0.08988 0.00000 246 0.33962 0.33962 0.67925 0.08895 0.08895 0.00000 247 0.33608 0.33608 0.67217 0.08802 0.08802 0.00000 248 0.33255 0.33255 0.66509 0.08710 0.08710 0.00000 249 0.32901 0.32901 0.65802 0.08617 0.08617 0.00000 250 0.32547 0.32547 0.65094 0.08524 0.08524 0.00000 251 0.32193 0.32193 0.64387 0.08432 0.08432 0.00000 252 0.31840 0.31840 0.63679 0.08339 0.08339 0.00000 253 0.31486 0.31486 0.62972 0.08246 0.08246 0.00000 254 0.31132 0.31132 0.62264 0.08154 0.08154 0.00000 255 0.30778 0.30778 0.61557 0.08061 0.08061 0.00000 256 0.30425 0.30425 0.60849 0.07968 0.07968 0.00000 257 0.30071 0.30071 0.60142 0.07876 0.07876 0.00000 258 0.29717 0.29717 0.59434 0.07783 0.07783 0.00000 259 0.29363 0.29363 0.58726 0.07690 0.07690 0.00000 260 0.29009 0.29009 0.58019 0.07598 0.07598 0.00000 261 0.28656 0.28656 0.57311 0.07505 0.07505 0.00000 262 0.28302 0.28302 0.56604 0.07412 0.07412 0.00000 263 0.27948 0.27948 0.55896 0.07320 0.07320 0.00000 264 0.27594 0.27594 0.55189 0.07227 0.07227 0.00000 265 0.27241 0.27241 0.54481 0.07134 0.07134 0.00000 266 0.26887 0.26887 0.53774 0.07042 0.07042 0.00000 267 0.26533 0.26533 0.53066 0.06949 0.06949 0.00000 268 0.26179 0.26179 0.52358 0.06856 0.06856 0.00000 269 0.25825 0.25825 0.51651 0.06764 0.06764 0.00000 270 0.25472 0.25472 0.50943 0.06671 0.06671 0.00000 271 0.25118 0.25118 0.50236 0.06579 0.06579 0.00000 272 0.24764 0.24764 0.49528 0.06486 0.06486 0.00000 273 0.24410 0.24410 0.48821 0.06393 0.06393 0.00000 274 0.24057 0.24057 0.48113 0.06301 0.06301 0.00000 275 0.23703 0.23703 0.47406 0.06208 0.06208 0.00000 276 0.23349 0.23349 0.46698 0.06115 0.06115 0.00000 277 0.22995 0.22995 0.45991 0.06023 0.06023 0.00000 278 0.22642 0.22642 0.45283 0.05930 0.05930 0.00000 279 0.22288 0.22288 0.44575 0.05837 0.05837 0.00000 280 0.21934 0.21934 0.43868 0.05745 0.05745 0.00000 281 0.21580 0.21580 0.43160 0.05652 0.05652 0.00000 282 0.21226 0.21226 0.42453 0.05559 0.05559 0.00000 283 0.20873 0.20873 0.41745 0.05467 0.05467 0.00000 284 0.20519 0.20519 0.41038 0.05374 0.05374 0.00000 285 0.20165 0.20165 0.40330 0.05281 0.05281 0.00000 286 0.19811 0.19811 0.39623 0.05189 0.05189 0.00000 287 0.19458 0.19458 0.38915 0.05096 0.05096 0.00000 288 0.19104 0.19104 0.38208 0.05003 0.05003 0.00000 289 0.18750 0.18750 0.37500 0.04911 0.04911 0.00000 290 0.18396 0.18396 0.36792 0.04818 0.04818 0.00000 291 0.18042 0.18042 0.36085 0.04725 0.04725 0.00000 292 0.17689 0.17689 0.35377 0.04633 0.04633 0.00000 293 0.17335 0.17335 0.34670 0.04540 0.04540 0.00000 294 0.16981 0.16981 0.33962 0.04447 0.04447 0.00000 295 0.16627 0.16627 0.33255 0.04355 0.04355 0.00000 296 0.16274 0.16274 0.32547 0.04262 0.04262 0.00000 297 0.15920 0.15920 0.31840 0.04169 0.04169 0.00000 298 0.15566 0.15566 0.31132 0.04077 0.04077 0.00000 299 0.15212 0.15212 0.30425 0.03984 0.03984 0.00000 300 0.14858 0.14858 0.29717 0.03892 0.03892 0.00000 301 0.14505 0.14505 0.29009 0.03799 0.03799 0.00000 302 0.14151 0.14151 0.28302 0.03706 0.03706 0.00000 303 0.13797 0.13797 0.27594 0.03614 0.03614 0.00000 304 0.13443 0.13443 0.26887 0.03521 0.03521 0.00000 305 0.13090 0.13090 0.26179 0.03428 0.03428 0.00000 306 0.12736 0.12736 0.25472 0.03336 0.03336 0.00000 307 0.12382 0.12382 0.24764 0.03243 0.03243 0.00000 308 0.12028 0.12028 0.24057 0.03150 0.03150 0.00000 309 0.11675 0.11675 0.23349 0.03058 0.03058 0.00000 310 0.11321 0.11321 0.22642 0.02965 0.02965 0.00000 311 0.10967 0.10967 0.21934 0.02872 0.02872 0.00000 312 0.10613 0.10613 0.21226 0.02780 0.02780 0.00000 313 0.10259 0.10259 0.20519 0.02687 0.02687 0.00000 314 0.09906 0.09906 0.19811 0.02594 0.02594 0.00000 315 0.09552 0.09552 0.19104 0.02502 0.02502 0.00000 316 0.09198 0.09198 0.18396 0.02409 0.02409 0.00000 317 0.08844 0.08844 0.17689 0.02316 0.02316 0.00000 318 0.08491 0.08491 0.16981 0.02224 0.02224 0.00000 319 0.08137 0.08137 0.16274 0.02131 0.02131 0.00000 320 0.07783 0.07783 0.15566 0.02038 0.02038 0.00000 321 0.07429 0.07429 0.14858 0.01946 0.01946 0.00000 322 0.07075 0.07075 0.14151 0.01853 0.01853 0.00000 323 0.06722 0.06722 0.13443 0.01760 0.01760 0.00000 324 0.06368 0.06368 0.12736 0.01668 0.01668 0.00000 325 0.06014 0.06014 0.12028 0.01575 0.01575 0.00000 326 0.05660 0.05660 0.11321 0.01482 0.01482 0.00000 327 0.05307 0.05307 0.10613 0.01390 0.01390 0.00000 328 0.04953 0.04953 0.09906 0.01297 0.01297 0.00000 329 0.04599 0.04599 0.09198 0.01205 0.01205 0.00000 330 0.04245 0.04245 0.08491 0.01112 0.01112 0.00000 331 0.03892 0.03892 0.07783 0.01019 0.01019 0.00000 332 0.03538 0.03538 0.07075 0.00927 0.00927 0.00000 333 0.03184 0.03184 0.06368 0.00834 0.00834 0.00000 334 0.02830 0.02830 0.05660 0.00741 0.00741 0.00000 335 0.02476 0.02476 0.04953 0.00649 0.00649 0.00000 336 0.02123 0.02123 0.04245 0.00556 0.00556 0.00000 337 0.01769 0.01769 0.03538 0.00463 0.00463 0.00000 338 0.01415 0.01415 0.02830 0.00371 0.00371 0.00000 339 0.01061 0.01061 0.02123 0.00278 0.00278 0.00000 340 0.00708 0.00708 0.01415 0.00185 0.00185 0.00000 341 0.00354 0.00354 0.00708 0.00093 0.00093 0.00000 342 0.00000 0.00000 0.00000 0.00000 0.00000 0.00000 343 0.00581 0.00581 0.00581 0.00076 0.00076 0.00076 344 0.01163 0.01163 0.01163 0.00152 0.00152 0.00152 345 0.01744 0.01744 0.01744 0.00228 0.00228 0.00228 346 0.02326 0.02326 0.02326 0.00305 0.00305 0.00305 347 0.02907 0.02907 0.02907 0.00381 0.00381 0.00381 348 0.03488 0.03488 0.03488 0.00457 0.00457 0.00457 349 0.04070 0.04070 0.04070 0.00533 0.00533 0.00533 350 0.04651 0.04651 0.04651 0.00609 0.00609 0.00609 351 0.05233 0.05233 0.05233 0.00685 0.00685 0.00685 352 0.05814 0.05814 0.05814 0.00761 0.00761 0.00761 353 0.06395 0.06395 0.06395 0.00837 0.00837 0.00837 354 0.06977 0.06977 0.06977 0.00914 0.00914 0.00914 355 0.07558 0.07558 0.07558 0.00990 0.00990 0.00990 356 0.08140 0.08140 0.08140 0.01066 0.01066 0.01066 357 0.08721 0.08721 0.08721 0.01142 0.01142 0.01142 358 0.09302 0.09302 0.09302 0.01218 0.01218 0.01218 359 0.09884 0.09884 0.09884 0.01294 0.01294 0.01294 360 0.10465 0.10465 0.10465 0.01370 0.01370 0.01370 361 0.11047 0.11047 0.11047 0.01447 0.01447 0.01447 362 0.11628 0.11628 0.11628 0.01523 0.01523 0.01523 363 0.12209 0.12209 0.12209 0.01599 0.01599 0.01599 364 0.12791 0.12791 0.12791 0.01675 0.01675 0.01675 365 0.13372 0.13372 0.13372 0.01751 0.01751 0.01751 366 0.13953 0.13953 0.13953 0.01827 0.01827 0.01827 367 0.14535 0.14535 0.14535 0.01903 0.01903 0.01903 368 0.15116 0.15116 0.15116 0.01980 0.01980 0.01980 369 0.15698 0.15698 0.15698 0.02056 0.02056 0.02056 370 0.16279 0.16279 0.16279 0.02132 0.02132 0.02132 371 0.16860 0.16860 0.16860 0.02208 0.02208 0.02208 372 0.17442 0.17442 0.17442 0.02284 0.02284 0.02284 373 0.18023 0.18023 0.18023 0.02360 0.02360 0.02360 374 0.18605 0.18605 0.18605 0.02436 0.02436 0.02436 375 0.19186 0.19186 0.19186 0.02512 0.02512 0.02512 376 0.19767 0.19767 0.19767 0.02589 0.02589 0.02589 377 0.20349 0.20349 0.20349 0.02665 0.02665 0.02665 378 0.20930 0.20930 0.20930 0.02741 0.02741 0.02741 379 0.21512 0.21512 0.21512 0.02817 0.02817 0.02817 380 0.22093 0.22093 0.22093 0.02893 0.02893 0.02893 381 0.22674 0.22674 0.22674 0.02969 0.02969 0.02969 382 0.23256 0.23256 0.23256 0.03045 0.03045 0.03045 383 0.23837 0.23837 0.23837 0.03122 0.03122 0.03122 384 0.24419 0.24419 0.24419 0.03198 0.03198 0.03198 385 0.25000 0.25000 0.25000 0.03274 0.03274 0.03274 386 0.25581 0.25581 0.25581 0.03350 0.03350 0.03350 387 0.26163 0.26163 0.26163 0.03426 0.03426 0.03426 388 0.26744 0.26744 0.26744 0.03502 0.03502 0.03502 389 0.27326 0.27326 0.27326 0.03578 0.03578 0.03578 390 0.27907 0.27907 0.27907 0.03654 0.03654 0.03654 391 0.28488 0.28488 0.28488 0.03731 0.03731 0.03731 392 0.29070 0.29070 0.29070 0.03807 0.03807 0.03807 393 0.29651 0.29651 0.29651 0.03883 0.03883 0.03883 394 0.30233 0.30233 0.30233 0.03959 0.03959 0.03959 395 0.30814 0.30814 0.30814 0.04035 0.04035 0.04035 396 0.31395 0.31395 0.31395 0.04111 0.04111 0.04111 397 0.31977 0.31977 0.31977 0.04187 0.04187 0.04187 398 0.32558 0.32558 0.32558 0.04264 0.04264 0.04264 399 0.33140 0.33140 0.33140 0.04340 0.04340 0.04340 400 0.33721 0.33721 0.33721 0.04416 0.04416 0.04416 401 0.34302 0.34302 0.34302 0.04492 0.04492 0.04492 402 0.34884 0.34884 0.34884 0.04568 0.04568 0.04568 403 0.35465 0.35465 0.35465 0.04644 0.04644 0.04644 404 0.36047 0.36047 0.36047 0.04720 0.04720 0.04720 405 0.36628 0.36628 0.36628 0.04797 0.04797 0.04797 406 0.37209 0.37209 0.37209 0.04873 0.04873 0.04873 407 0.37791 0.37791 0.37791 0.04949 0.04949 0.04949 408 0.38372 0.38372 0.38372 0.05025 0.05025 0.05025 409 0.38953 0.38953 0.38953 0.05101 0.05101 0.05101 410 0.39535 0.39535 0.39535 0.05177 0.05177 0.05177 411 0.40116 0.40116 0.40116 0.05253 0.05253 0.05253 412 0.40698 0.40698 0.40698 0.05329 0.05329 0.05329 413 0.41279 0.41279 0.41279 0.05406 0.05406 0.05406 414 0.41860 0.41860 0.41860 0.05482 0.05482 0.05482 415 0.42442 0.42442 0.42442 0.05558 0.05558 0.05558 416 0.43023 0.43023 0.43023 0.05634 0.05634 0.05634 417 0.43605 0.43605 0.43605 0.05710 0.05710 0.05710 418 0.44186 0.44186 0.44186 0.05786 0.05786 0.05786 419 0.44767 0.44767 0.44767 0.05862 0.05862 0.05862 420 0.45349 0.45349 0.45349 0.05939 0.05939 0.05939 421 0.45930 0.45930 0.45930 0.06015 0.06015 0.06015 422 0.46512 0.46512 0.46512 0.06091 0.06091 0.06091 423 0.47093 0.47093 0.47093 0.06167 0.06167 0.06167 424 0.47674 0.47674 0.47674 0.06243 0.06243 0.06243 425 0.48256 0.48256 0.48256 0.06319 0.06319 0.06319 426 0.48837 0.48837 0.48837 0.06395 0.06395 0.06395 427 0.49419 0.49419 0.49419 0.06472 0.06472 0.06472 428 0.50000 0.50000 0.50000 0.06548 0.06548 0.06548
As you can see, in the present calculation the path is as follows : \Gamma - X - W - X’ - K - \Gamma - L. Concerning the results, you can compare the phonon spectrum obtained in this tutorial with the first figure of this paper. As you can see, the overall agreement is very good but not perfect due the too small number of atomic configurations (20) and the difference between the experimental (80 K) and theoretical (900 K) temperatures. If you perform AIMD simulations at various temperatures and store more than 20 atomic configurations, you will obtain the following picture :

Warning
The tatdep1_1qpt.dat file do not be confused with the tatdep1_1qbz.dat file which defines the Monkhorst-Pack (MP) q-point mesh used to compute the vDOS : g(\omega)=\frac{1}{3N_a}\sum_{s=1}^{3N_a}\sum_{\mathbf{q}\in BZ} \delta(\omega-\omega_s(\mathbf{q})) such as \int_0^{\omega_{max}} g(\omega)d\omega =1, with \omega_{max} the highest phonon frequency of the system. The vDOS is written in the tatdep1_1vdos.dat file. You may plot it to verify that the vDOS is consistent with the phonon spectrum.
2.2.3 The thermodynamic file tatdep1_1thermo.dat¶
============= Direct results (without any inter/extrapolation) ==================
For present temperature (in Kelvin): T= 900.000
The cold contribution (in eV/atom): U_0 = -56.407
The specific heat (in k_b/atom): C_v= 2.972
The vibrational entropy (in k_b/atom): S_vib = 6.638
The internal energy (in eV/atom): U_vib = 0.235
The vibrational contribution (in eV/atom): F_vib = U_vib -T.S_vib = -0.280
The harmonic free energy (in eV/atom) --> F_tot^HA = U_0 + F_vib = -56.687
Useful quantities for melting :
The mean square displacement (in a.u.): sqrt(<u^2>) = 0.590
The <Omega^(-2)> factor (in THz^(-2)) = 0.138
The Wigner-Seitz radius (in a.u.) : d_at = 5.969
The average mass / proton-electron mass ratio (in a.u.) = 26.982
The Lindemann constant : sqrt(<u^2>)/d_at = 0.099
The integral of vDOS = 1.000
============= Harmonic Approximation (HA) ==================
Note that the following results come from an EXTRAPOLATION:
1/ F_vib^HA(T) is computed for each T using vDOS(T= 900)
2/ F_tot^HA(T) = F_vib^HA(T) + U_0
T F_vib^HA(T) F_tot^HA(T) C_v(T) S_vib(T) U_vib(T) MSD(T)
100 0.034 -56.373 1.618 0.909 0.042 0.230
200 0.020 -56.387 2.511 2.374 0.061 0.291
300 -0.005 -56.413 2.765 3.449 0.084 0.348
400 -0.039 -56.446 2.864 4.260 0.108 0.398
500 -0.078 -56.485 2.912 4.905 0.133 0.443
600 -0.123 -56.530 2.938 5.438 0.158 0.484
700 -0.172 -56.579 2.954 5.893 0.184 0.522
800 -0.224 -56.631 2.965 6.288 0.209 0.557
900 -0.280 -56.687 2.972 6.638 0.235 0.590
1000 -0.339 -56.746 2.978 6.951 0.260 0.622
1100 -0.400 -56.807 2.981 7.235 0.286 0.652
1200 -0.463 -56.870 2.984 7.495 0.312 0.681
1300 -0.529 -56.936 2.987 7.733 0.338 0.709
1400 -0.596 -57.004 2.989 7.955 0.363 0.735
1500 -0.666 -57.073 2.990 8.161 0.389 0.761
1600 -0.737 -57.144 2.991 8.354 0.415 0.786
1700 -0.810 -57.217 2.992 8.536 0.441 0.810
1800 -0.884 -57.291 2.993 8.707 0.466 0.833
1900 -0.960 -57.367 2.994 8.868 0.492 0.856
2000 -1.037 -57.444 2.994 9.022 0.518 0.878
2100 -1.115 -57.523 2.995 9.168 0.544 0.900
2200 -1.195 -57.602 2.995 9.307 0.570 0.921
2300 -1.276 -57.683 2.996 9.441 0.595 0.942
2400 -1.358 -57.765 2.996 9.568 0.621 0.962
2500 -1.441 -57.848 2.996 9.690 0.647 0.982
2600 -1.525 -57.932 2.997 9.808 0.673 1.001
2700 -1.610 -58.017 2.997 9.921 0.699 1.020
2800 -1.696 -58.103 2.997 10.030 0.725 1.039
2900 -1.782 -58.190 2.997 10.135 0.750 1.057
3000 -1.870 -58.277 2.997 10.237 0.776 1.076
3100 -1.959 -58.366 2.998 10.335 0.802 1.093
3200 -2.048 -58.456 2.998 10.430 0.828 1.111
3300 -2.139 -58.546 2.998 10.523 0.854 1.128
3400 -2.230 -58.637 2.998 10.612 0.880 1.145
3500 -2.321 -58.729 2.998 10.699 0.905 1.162
3600 -2.414 -58.821 2.998 10.783 0.931 1.178
3700 -2.507 -58.915 2.998 10.866 0.957 1.194
3800 -2.601 -59.009 2.998 10.946 0.983 1.210
3900 -2.696 -59.103 2.999 11.023 1.009 1.226
4000 -2.791 -59.199 2.999 11.099 1.035 1.242
4100 -2.887 -59.295 2.999 11.173 1.060 1.257
4200 -2.984 -59.391 2.999 11.246 1.086 1.272
4300 -3.081 -59.488 2.999 11.316 1.112 1.287
4400 -3.179 -59.586 2.999 11.385 1.138 1.302
4500 -3.277 -59.685 2.999 11.453 1.164 1.317
4600 -3.376 -59.784 2.999 11.518 1.190 1.332
4700 -3.476 -59.883 2.999 11.583 1.215 1.346
4800 -3.576 -59.983 2.999 11.646 1.241 1.360
4900 -3.677 -60.084 2.999 11.708 1.267 1.374
5000 -3.778 -60.185 2.999 11.768 1.293 1.388
5100 -3.879 -60.287 2.999 11.828 1.319 1.402
5200 -3.982 -60.389 2.999 11.886 1.345 1.416
5300 -4.084 -60.491 2.999 11.943 1.371 1.429
5400 -4.187 -60.595 2.999 11.999 1.396 1.443
5500 -4.291 -60.698 2.999 12.054 1.422 1.456
5600 -4.395 -60.802 2.999 12.108 1.448 1.469
5700 -4.500 -60.907 2.999 12.161 1.474 1.482
5800 -4.605 -61.012 2.999 12.214 1.500 1.495
5900 -4.710 -61.117 2.999 12.265 1.526 1.508
6000 -4.816 -61.223 2.999 12.315 1.551 1.521
6100 -4.922 -61.330 2.999 12.365 1.577 1.533
6200 -5.029 -61.436 2.999 12.414 1.603 1.546
6300 -5.136 -61.544 2.999 12.462 1.629 1.558
6400 -5.244 -61.651 2.999 12.509 1.655 1.571
6500 -5.352 -61.759 2.999 12.555 1.681 1.583
6600 -5.460 -61.868 2.999 12.601 1.707 1.595
6700 -5.569 -61.976 2.999 12.646 1.732 1.607
6800 -5.678 -62.086 3.000 12.691 1.758 1.619
6900 -5.788 -62.195 3.000 12.735 1.784 1.631
7000 -5.898 -62.305 3.000 12.778 1.810 1.643
7100 -6.008 -62.415 3.000 12.820 1.836 1.654
7200 -6.119 -62.526 3.000 12.862 1.862 1.666
7300 -6.230 -62.637 3.000 12.904 1.887 1.677
7400 -6.341 -62.748 3.000 12.944 1.913 1.689
7500 -6.453 -62.860 3.000 12.985 1.939 1.700
7600 -6.565 -62.972 3.000 13.024 1.965 1.711
7700 -6.677 -63.085 3.000 13.064 1.991 1.723
7800 -6.790 -63.197 3.000 13.102 2.017 1.734
7900 -6.903 -63.310 3.000 13.140 2.043 1.745
8000 -7.017 -63.424 3.000 13.178 2.068 1.756
8100 -7.130 -63.537 3.000 13.215 2.094 1.767
8200 -7.244 -63.652 3.000 13.252 2.120 1.778
8300 -7.359 -63.766 3.000 13.289 2.146 1.789
8400 -7.473 -63.881 3.000 13.325 2.172 1.799
8500 -7.588 -63.996 3.000 13.360 2.198 1.810
8600 -7.704 -64.111 3.000 13.395 2.224 1.821
8700 -7.819 -64.226 3.000 13.430 2.249 1.831
8800 -7.935 -64.342 3.000 13.464 2.275 1.842
8900 -8.051 -64.458 3.000 13.498 2.301 1.852
9000 -8.168 -64.575 3.000 13.532 2.327 1.862
9100 -8.284 -64.692 3.000 13.565 2.353 1.873
9200 -8.401 -64.809 3.000 13.597 2.379 1.883
9300 -8.519 -64.926 3.000 13.630 2.404 1.893
9400 -8.636 -65.044 3.000 13.662 2.430 1.903
9500 -8.754 -65.161 3.000 13.694 2.456 1.913
9600 -8.872 -65.280 3.000 13.725 2.482 1.924
9700 -8.991 -65.398 3.000 13.756 2.508 1.934
9800 -9.109 -65.517 3.000 13.787 2.534 1.943
9900 -9.228 -65.636 3.000 13.817 2.560 1.953
10000 -9.348 -65.755 3.000 13.848 2.585 1.963
In this file, we print all the thermodynamic data that we can compute by using the phonon spectrum and/or the vDOS. The main quantity is the free energy \mathcal{F}. This one can be splitted in two parts:
The first part is the cold contribution (at T = 0 K) whereas the second one is the vibrational contribution (with T \neq 0). The cold contribution can be computed using a ground state specific calculation or using the following formulation :
The vibrational contributions (free energy F_{\rm vib}, internal energy U_{\rm vib}, entropy S_{\rm vib} and heat capacity C_{\rm vib,V}) can be computed using the vDOS g(\omega) in the harmonic approximation (see the paper of Lee & Gonze [Lee1995]) :
All these thermodynamic data are computed and written in the tatdep1_1thermo.dat. Note that this file is divided in two parts :
- the first one is dedicated to the thermodynamic data obtained at the temperature defined by the input variable temperature.
============= Direct results (without any inter/extrapolation) ==================
For present temperature (in Kelvin): T= 900.000
The cold contribution (in eV/atom): U_0 = -56.407
The specific heat (in k_b/atom): C_v= 2.972
The vibrational entropy (in k_b/atom): S_vib = 6.638
The internal energy (in eV/atom): U_vib = 0.235
The vibrational contribution (in eV/atom): F_vib = U_vib -T.S_vib = -0.280
The harmonic free energy (in eV/atom) --> F_tot^HA = U_0 + F_vib = -56.687
...
- whereas in the second one, the thermodynamic data are extrapolated at all the temperatures using a fixed vDOS.
============= Harmonic Approximation (HA) ==================
Note that the following results come from an EXTRAPOLATION:
1/ F_vib^HA(T) is computed for each T using vDOS(T= 900)
2/ F_tot^HA(T) = F_vib^HA(T) + U_0
T F_vib^HA(T) F_tot^HA(T) C_v(T) S_vib(T) U_vib(T) MSD(T)
100 0.034 -56.373 1.618 0.909 0.042 0.230
200 0.020 -56.387 2.511 2.374 0.061 0.291
300 -0.005 -56.413 2.765 3.449 0.084 0.348
...
Note
In the harmonic approximation (HA), the phonon frequencies do not depend on the temperature but only on the volume V, so we have \omega_{\rm HA} = \omega(V). Using a constant vDOS, it’s then possible to compute all the thermodynamic data, whatever the temperature “\beta” (see the equations above). In this case, the temperature variation of the thermodynamic quantities comes from the filling of phononic states using the Bose-Einstein statistics. To go beyond, and capture the thermal expansion for example, we can assume that the temperature effects are implicit through the variation of the volume V(T). This is the quasi-harmonic approximation (QHA) : \omega_{\rm QHA}=\omega(V(T)). If in many cases the QHA gives excellent results, it fails to reproduce an explicit variation of the thermodynamic data with respect to the temperature (by definition, using QHA, the phonon frequencies cannot vary at constant volume ; i.e. along an isochore). This explicit variation comes from anharmonic effects and only be captured by going beyond the second order in the energy expansion. That is the work done by aTDEP, by recasting all the 3rd, 4th… terms of the energy expansion within the 2nd order, in an effective way. Since the 2nd order effective IFC now takes into account all these terms, it captures the temperature effects and we have \omega_{\rm Anh}=\omega(T,V(T).
In the tatdep1_1thermo.dat file corresponding to the present calculation, several remarks can be done. You can see that the specific heat C_{\rm vib,V} is equal to 2.972 (in k_B units) at T = 900 K. In the second part of this file, you see that this quantity converges towards 3 at high temperature, as expected by the Dulong-Petit law (in this part we are in HA, so this law is fulfilled). This result is consistent with the experimental Debye temperature \Theta_D \approx 400 K ; at T = 900 K the behaviour of aluminum is classical and no longer quantum, since all the phononic states are filled. This can be seen also for another quantity. Plot the vibrational internal energy U_{\rm vib}^{ \rm HA} as the function of temperature (see the second part of the file). And plot also U_{\rm vib}^{\rm Classic}=3k_B T corresponding to the classic formulation (in eV, so use the conversion factor 1 eV = 11 604 K). You will see that the classic limit is achieved between 400 and 600 K, as expected.
2.3 Numerical convergence (accuracy and precision)¶
Several input variables have strong impact on the convergence of the effective IFC, phonon frequencies and thermodynamic data. Two of them are in the tatdep1_1.abi input file (in the “DEFINE_COMPUTATIONAL_DETAILS” section) and others comes from the AIMD simulations.
2.3.1 The cutoff radius rcut¶
The first one is the cutoff radius used to compute the 2nd order effective IFC. In practice, it defines the number of coordination shells included in the calculation.

Let us see again the tatdep1_1.abo output file and go to the “SECOND ORDER” section. You will see the list of the five shells included in the present calculation and sorted as a function of the shell radius : 0.0000000000 (the onsite interaction), 5.3997030363 (the 2nd shell), 7.6363332667 (the 3rd), 9.3525600046 (the 4th) and 10.7994060725 a.u. (the 5th).
Shell number: 1
Between atom 1 and 1 the distance is= 0.0000000000
...
Shell number: 2
Between atom 1 and 2 the distance is= 5.3997030363
...
Shell number: 3
Between atom 1 and 4 the distance is= 7.6363332667
...
Shell number: 4
Between atom 1 and 10 the distance is= 9.3525600046
...
Shell number: 5
Between atom 1 and 16 the distance is= 10.7994060725
...
In the tatdep1_1.abi input file the cutoff radius rcut equals to 11.45 (a.u.). Now, we will change this value to 6.0, 8.0 and 10.0 in order to have 2, 3 and 4 shells in the calculation, respectively. To do that, you can change the root of the output filename and replace the third line of the tatdep1_1.files file by “Rcut6”,
tatdep1_1.abi
tatdep1_1
Rcut6
then set “rcut 6.0” in the input file *tatdep1_1.abi” and finally launch atdep. Repeat this process for “Rcut8” and “Rcut10” and plot all the phonon spectra together :
xmgrace -nxy Rcut6omega.dat -nxy Rcut8omega.dat -nxy Rcut10omega.dat -nxy tatdep1_1omega.dat
You should get the following picture :

Concerning this very simple case, the frequencies are almost converged with only two shells (the onsite interaction and the 1st shell of coordination). In most situations, this is not the case. Here, we can see that some differences remain for rcut = 6.0 and 8.0 a.u. with respect to higher shell radii. With 4 shells and rcut = 10.0, the phonon spectrum seems to be converged and almost equal to 5 shells and rcut = 11.45. This is confirmed by AIMD simulations with 216 atoms in the supercell and a higher shell radius (see below).
Warning
The cutoff radius rcut cannot be greater than half the shortest dimension of the supercell. Otherwise, the shell will include spurious atomic vibrations. The only way to have a larger cutoff radius is to perform AIMD simulations with a larger supercell/number of atoms.
2.3.2 The number of atomic configurations¶
Another key quantity is the number of atomic configurations used in the calculation. This one is defined by the difference between two input variables : nstep_max - nstep_min. For simplicity, we generally use as input data files (etot.dat, xred.dat and fcart.dat) the whole trajectory coming from the AIMD simulations, with thousands of atomic configurations. So, for an AIMD trajectory with 5 000 time steps including a thermalization over 2 000 time steps, we can set nstep_max to 5 000 and nstep_min to 2 000. However, the 3 000 AIMD time steps really used are not uncorrelated and 99% of the information coming from them is in general useless.
The number of uncorrelated configurations needed for the calculation is direcly related to the number of non-zero and independent IFC coefficients which has to be computed. At the 2nd order, the whole effective IFC \mathbf{\Theta} is a (3N_a\times 3N_a) matrix. For instance, in the present calculation with N_a = 108 atoms, the whole IFC has 104 976 coefficients. So, if one wants to obtain them (using a least square method \mathbf{\Theta} = \mathbf{F} . \mathbf{u}^{-1}), it would require tens of thousands time steps, which is out of reach (see the seminal article of Hellman and coworkers [Hellman2011]),
Thanks to crystal symmetries, tensor symmetries (of the IFC, of the dynamical matrix, of the elastic tensor…) and invariances (translational and rotational) this huge number can be drastically reduced. For example, in the present calculation, we only need to compute 12 IFC coefficients (see “Total number of coefficients at the second order” in the tatdep1_1.abo output file) : 0 for the 1st shell then 3, 2, 4 and 3 coefficients for the higher shells. You can see their value in the output file (have a look at “List of (second order) IFC”). In fact, many of them are zero, symmetric or anti-symmetric, which gives the following picture of the whole IFC :
Thanks to this drastic reduction of the IFC coefficients, only 50 to 100 atomic uncorrelated configurations are generally needed to obtain converged properties at the 2nd order (in this example, and in the whole ABINIT package, we only propose examples with a maximum of 20 uncorrelated configurations in order to avoid a too huge amount of data). As previously discussed for the cutoff radius, we can study the convergence of the calculation with respect to the number of uncorrelated atomic configurations. Set nstep_max equal to 5 in tatdep1_1.abi, replace the root of the ouput file name by “Ntep5” in the tatdep1_1.files and launch atdep. Do it again for 8 time steps then plot :
xmgrace -nxy Nstep5omega.dat -nxy Nstep8omega.dat -nxy tatdep1_1omega.dat
You should get the following picture :

In conclusion, a too small number of uncorrelated atomic configurations leads to a large error in the phonon spectrum. Therefore, do not hesitate to pursue the AIMD simulation (in order to accumulate a larger number of configurations) until achieving the convergence of the phonon spectrum.
Note
Another input variable impacts the number of atomic configurations : slice. This optional variable selects one configuration over slice, so the calculation will have (nstep_max-nstep_min)/slice configurations at all. To test its utility, you can add a line “slice 4” in the section “optional input variable”, change the root of the output file name by “slice” and launch atdep. The value of this optional variable is now echoed at the begining of the output file and you can find that the “real number of time steps” is now 5 (and no longer 20). Finally, you can plot the phonon spectrum and see the differences with respect to have the 20 configurations (tatdep1_1omega.dat) or only the 5 first (Nstep5omega.dat).
2.3.3 Other important parameters¶
The aTDEP results depend on the aTDEP input variables, but also on the features of the AIMD simulation. Three of them have a real impact on the computational cost of the AIMD simulation but also on the aTDEP results :
- the number of AIMD time steps (this will allow to increase nstep_max in aTDEP). See above for the consequences.
- the size of the supercell (this will allow to increase rcut in aTDEP). See the Figure below.
- the k-point MP mesh (used to compute the electronic density). See the Figure below.

You can see that the \Gamma-point is never sufficient, as well with 108 atoms as with 216 atoms. The (2\times2\times2) k-point MP mesh gives an almost converged phonon spectrum (lower than 2% with respect to the (6\times6\times6) one), except at the \Gamma point (around 5%). This last point will have consequences on elastic constants (they are related to the slope of the acoustic branches at the \Gamma point).
Note
You can see the impact of the k-point mesh on the phonon spectrum of \beta-Zr in this recent paper [Anzellini2020]. All the calculations of this study are performed using ABINIT and aTDEP.
3. Temperature dependency of a soft mode : U-\alpha¶
This calculation is similar to the one performed in the following article [Bouchet2015].
Before proceeding, you can copy the next three series of input files in the current directory.
cp ../tatdep1_2.* .
cp ../tatdep1_3.* .
cp ../tatdep1_4.* .
You can open the first input file :
NormalMode #DEFINE_UNITCELL brav 3 3 natom_unitcell 2 xred_unitcell 0.0 0.0 0.0 -0.2022 0.2022 0.5 typat_unitcell 1 1 ntypat 1 amu 2.38028900E+02 #DEFINE_SUPERCELL rprimd 21.5800000 0.0000000 0.0000000 0.0000000 22.1860000 0.0000000 0.0000000 0.0000000 28.1010000 multiplicity 4 4 0 -2 2 0 0 0 3 natom 96 typat 1 1 1 1 1 1 1 1 1 1 1 1 1 1 1 1 1 1 1 1 1 1 1 1 1 1 1 1 1 1 1 1 1 1 1 1 1 1 1 1 1 1 1 1 1 1 1 1 1 1 1 1 1 1 1 1 1 1 1 1 1 1 1 1 1 1 1 1 1 1 1 1 1 1 1 1 1 1 1 1 1 1 1 1 1 1 1 1 1 1 1 1 1 1 1 1 1 1 1 1 1 1 1 1 1 1 1 1 1 1 1 1 1 1 1 1 1 1 1 1 1 1 1 1 1 1 1 1 1 1 1 1 1 1 1 1 1 1 1 1 1 temperature 300 #DEFINE_COMPUTATIONAL_DETAILS nstep_max 20 nstep_min 1 rcut 10.79 #OPTIONAL_INPUT_VARIABLES use_ideal_positions 1 enunit 3 TheEnd #%%<BEGIN TEST_INFO> #%% [setup] #%% executable = atdep #%% md_hist = tatdep1_2 #%% [files] #%% files_to_test = #%% tatdep1_2.abo, tolnlines = 1, tolabs = 2.e-3, tolrel = 1.e-4, fld_options = -medium; #%% tatdep1_2omega.dat, tolnlines = 5, tolabs = 2.e-3, tolrel = 1.e-4, fld_options = -medium; #%% tatdep1_2thermo.dat, tolnlines = 5, tolabs = 2.e-3, tolrel = 1.e-4, fld_options = -medium; #%% [paral_info] #%% max_nprocs = 10 #%% [extra_info] #%% authors = F. Bottin & J. Bouchet #%% keywords = atdep #%% description = #%% test aTDEP #%% topics = aTDEP #%%<END TEST_INFO>
As can be seen in the first lines, U-\alpha is an orthorombic (brav(1)=3) C-face centered (brav(2)=3) phase with two atoms in the unitcell : one at (0;0;0) and another at (-y;y;0.5) with y an internal parameter. Two optional input parameters are set : enunit=3 (the frequency unit is THz) and use_ideal_positions=1 (the atomic displacements are computed wrt the U-\alpha ideal positions).
Note
The T\neq 0 K equilibrium positions are not necessary equal to the T=0 K ideal positions. For instance, the y internal parameter of the U-\alpha phase evolves as a function of the temperature. Therefore, it could be needed to compute the phonon spectrum using the T\neq 0 K equilibrium positions (use_ideal_positions=0) rather than using a fixed y=0.2022 internal parameter. However, the the T\neq 0 K equilibrium positions are computed by atdep as an average over all the AIMD steps. And to achieve a good accuracy, a long AIMD trajectory (with a good statistic) is needed. In the present case (U-\alpha), with only 20 configurations, its impossible to evaluate the “T\neq 0 K equilibrium positions” accurately. So, to avoid spurious effects coming from a too bad description of the new “T\neq 0 K equilibrium positions”, we imposed the 0 K ideal positions whatever the temperature use_ideal_positions=1.
3.1 Failure of the QHA¶
The \alpha phase of uranium (C-face centered orthorombic) is stable from room temperature up to 900 K. However, at low temperature (below 50 K), U-\alpha undergoes a phase transition towards the \alpha_1 structure (the \alpha structure is twofold along the [100] direction). This feature can be seen on the following Figure :

This phase transition goes with a phonon mode softening in the middle of the [100] direction :

For a long time, this phenomenon was puzzling, especially from a computational of view. In particular, if the DFPT is able to reproduce the phonon spectrum of U-\alpha at 300 K, the QHA fails to reproduce the correct behaviour of the soft mode at low temperature : in experiments the soft mode decreases as a function of the temperature, whereas using DFPT this mode increases when the volume decreases. At odds, this behaviour is correctly reproduced when performing simulations with an explicit treatment of the temperature (AIMD) and using a post-process able to capture the anharmonicity (atdep) :

3.2 Effect of the temperature¶
Here, we will reproduce this temperature effect between 300 K and 50 K. The tatdep1_2.abi is the input file corresponding to T = 300 K, whereas tatdep1_3.abi is the one for T = 50 K. You can compare them :
vimdiff tatdep1_2.abi tatdep1_3.abi
Three lines are different : the ones corresponding to temperature, rprimd and rcut. The equilibrium volume reduces between 300 K and 50 K so rprimd has been changed. In conjunction, rcut has to be reduced in order to be lower than half the smallest supercell lattice parameter (which is the first dimension of the supercell). Now you can execute atdep for these two temperatures :
atdep < tatdep1_2.files > log 2> err &
atdep < tatdep1_3.files > log 2> err &
For the moment, we are interested in the phonon spectra. You can plot them together :
xmgrace -nxy tatdep1_2omega.dat -nxy tatdep1_3omega.dat
You shoud obtain this picture :

By using only 20 configurations we are able to reproduce the softening of the \Sigma_4 branch of U-\alpha as a function of the temperature. However, this agreement is more qualitative than quantitative. A strict comparison with the converged phonon spectrum displayed at the begining shows that the differences at 300 K are significative. Moreover, the elastic moduli obtained at T = 300 K (in the tatdep1_2.abo output file)_ are :
============================== Hill average =================================
ISOTHERMAL modulus [in GPa]: Bulk Kt= 51.471 and Shear G= 72.431
Average of Young modulus E [in GPa]= 147.911 Lame modulus Lambda [in GPa]= 3.184 and Poisson ratio Nu= 0.021
Velocities [in m.s-1]: compressional Vp= 2788.977 shear Vs= 1950.784 and bulk Vphi= 1644.481
Debye velocity [in m.s-1]= 2118.561 and temperature [in K]= 229.468
If we compare the bulk modulus to the one obtained by DFPT (see the PRB 88, 134202 (2013)) and experiments (see the PR 29, 1473 (1958)), we obtain :
| Work | K |
|---|---|
| Present (300 K) | 51 |
| DFPT (0 K) | 129 |
| Expt (300 K) | 115 |
This quantity is very far from the ones obtained by DFPT and experiments.
3.3 Elastic moduli and size effect¶
In this part we will focus on the bulk modulus and the discrepancies obtained previously. The tatdep1_4.abi is the same input file as tatdep1_2.abi except that the first dimension of the supercell is increased. You can compare them :
vimdiff tatdep1_2.abi tatdep1_4.abi
Along the [100] direction, the multiplicity is no longer 4 but 6. Consequently, the number of atoms natom is no longer 96 but 144 and rcut can be increased to 11.09 a.u. (half of the second dimension). This leads to have a supplementary shell of coordination in the calculation :
Shell number: 13
Between atom 1 and 49 the distance is= 10.7900000000
Number of independant coefficients in this shell= 4
Number of interactions in this shell= 2
This one is at a distance equal to 10.79 a.u., which is exactly twice the unitcell lattice parameter along the [100] direction (5.395 a.u.). There are only 2 atoms in this shell : at the [-200] and [200] positions. If you search the coefficients of this IFC using the keyword “ishell= 13”, you will find :
======== NEW SHELL (ishell= 13): There are 2 atoms on this shell at distance=10.790000
For jatom= 49 ,with type= 1
-0.008388 -0.000138 0.000000
0.000138 -0.000245 0.000000
0.000000 0.000000 -0.002201
The components of the vector are: 10.790000 0.000000 0.000000
Trace= -0.010834
For jatom= 97 ,with type= 1
-0.008388 0.000138 0.000000
-0.000138 -0.000245 0.000000
0.000000 0.000000 -0.002201
The components of the vector are: -10.790000 0.000000 0.000000
Trace= -0.010834
The contribution of this shell is very large compared to the others. This can be seen on the “Trace” of the IFC matrix, its absolute value (-0.010834) is lower than the one obtained for the 1st shell (the onsite contribution) and the 2nd shell, almost equal to the one obtained for the 4th shell but higher than all the others. This 13th shell contributes to the phase transition between U-\alpha and U-\alpha_1. This one is reponsible for the twofold of the unitcell along the [100] direction at low temperature, so it was absolutely necessary to include it in the calculation.
Using only 20 atomic configurations, we cannot see any quantitative improvement of the phonon spectrum (more steps are needed). However we can note a significant effect on the elastic moduli :
============================== Hill average =================================
ISOTHERMAL modulus [in GPa]: Bulk Kt= 106.876 and Shear G= 85.533
Average of Young modulus E [in GPa]= 202.562 Lame modulus Lambda [in GPa]= 49.854 and Poisson ratio Nu= 0.184
Velocities [in m.s-1]: compressional Vp= 3406.949 shear Vs= 2119.896 and bulk Vphi= 2369.674
Debye velocity [in m.s-1]= 2336.400 and temperature [in K]= 253.063
| Work | K |
|---|---|
| Present (300 K) | 107 |
| DFPT^1 (0 K) | 129 |
| Expt^2 (300 K) | 115 |
In conclusion, we can have in mind that the elastic constants/moduli (fixed by the slope of the acoustic branches at the \Gamma point ; i.e. at long range) need to have very large supercell. See the following paper for more details : Schnell et al., PRB 74, 054104 (2006).
4. Dynamic stabilization due to anharmonic effects : U-\gamma¶
4.1 Strong anharmonicity¶
This calculation is similar to the one performed in the following article [Bouchet2017]. The U-\alpha orthorombic phase is stable up to 940 K, then the U-\beta body-centered tetragonal phase is stable up to 1050 K, and finally the U-\gamma body-centered cubic phase is stable up to the melting point. In this section, we will focus on this later. Using DFPT, the phonon spectrum of the U-\gamma phase shows many soft modes (see the Figure 4 of [Bouchet2017]). This phase is dynamically instable at T = 0 K. Consequently, it is impossible to deduce anything about its dynamic, elastic and thermodynamic properties. For a long time, the stability of this phase is expected to come from anharmonic effects. That’s we will show in the following.
Before proceeding, you can copy the next series of input files in the current directory.
cp ../tatdep1_5.* .
You can now open the input file :
NormalMode #DEFINE_UNITCELL brav 7 -1 natom_unitcell 1 xred_unitcell 0.0 0.0 0.0 typat_unitcell 1 ntypat 1 amu 2.38028900E+02 #DEFINE_SUPERCELL rprimd 26.0647552 0.0000000 0.0000000 0.0000000 26.0647552 0.0000000 0.0000000 0.0000000 26.0647552 multiplicity 0 4 4 4 0 4 4 4 0 natom 128 typat 1 1 1 1 1 1 1 1 1 1 1 1 1 1 1 1 1 1 1 1 1 1 1 1 1 1 1 1 1 1 1 1 1 1 1 1 1 1 1 1 1 1 1 1 1 1 1 1 1 1 1 1 1 1 1 1 1 1 1 1 1 1 1 1 1 1 1 1 1 1 1 1 1 1 1 1 1 1 1 1 1 1 1 1 1 1 1 1 1 1 1 1 1 1 1 1 1 1 1 1 1 1 1 1 1 1 1 1 1 1 1 1 1 1 1 1 1 1 1 1 1 1 1 1 1 1 1 1 1 1 1 1 1 1 1 1 1 1 1 1 1 1 1 1 1 1 1 1 1 1 1 1 1 1 1 1 1 1 1 1 1 1 1 1 1 1 1 1 1 1 1 1 1 1 1 1 1 1 1 1 1 1 1 1 1 1 1 1 1 1 1 1 1 1 1 1 1 1 1 1 1 1 1 1 1 1 1 1 1 1 1 1 1 1 1 1 1 1 1 1 1 1 1 1 1 1 1 1 1 1 1 1 1 1 1 1 1 1 1 1 1 1 1 1 1 1 1 1 1 1 1 1 1 1 1 1 1 1 1 1 1 1 1 1 1 1 1 1 1 1 1 1 1 1 1 1 1 1 1 1 1 1 temperature 9.00000000E+02 #DEFINE_COMPUTATIONAL_DETAILS nstep_max 20 nstep_min 1 rcut 13.03 #OPTIONAL_INPUT_VARIABLES bzpath 5 G H P G N use_ideal_positions 1 enunit 1 TheEnd #%%<BEGIN TEST_INFO> #%% [setup] #%% executable = atdep #%% md_hist = tatdep1_5 #%% [files] #%% files_to_test = #%% tatdep1_5.abo, tolnlines = 1, tolabs = 2.e-3, tolrel = 1.e-4, fld_options = -medium; #%% tatdep1_5omega.dat, tolnlines = 5, tolabs = 2.e-3, tolrel = 1.e-4, fld_options = -medium; #%% tatdep1_5thermo.dat, tolnlines = 5, tolabs = 2.e-3, tolrel = 1.e-4, fld_options = -medium; #%% [paral_info] #%% max_nprocs = 10 #%% [extra_info] #%% authors = F. Bottin & J. Bouchet #%% keywords = atdep #%% description = #%% test aTDEP #%% topics = aTDEP #%%<END TEST_INFO>
As can be seen in the first lines, U-\gamma is a cubic (brav(1)=7) body-centered (brav(2)=-1) phase with one atom in the unitcell. Three optional input parameters are set : enunit=1 (the frequency unit is cm^{-1}), bzpath=5 G H P G N (the BZ path is \Gamma-H-P-\Gamma-N) and use_ideal_positions=1 (the atomic displacements are computed wrt the bcc ideal positions). Now you can execute atdep :
atdep < tatdep1_5.files > log 2> err &
You can plot the phonon spectrum of U-\gamma : tatdep1_5omega.dat. This one is almost equal to the one published in [Bouchet2017]. All the soft modes (around \Gamma, N and H) obtained using DFPT are now positive. This shows that the phase is now dynamically stable at T = 900 K (even if this phase is not yet thermodynamically stable). However, we can see that the system is on the verge of instability. The transverse branches at the N point are very low and the Born criterion for cubic systems (C_{11}-C_{12}>0) highlighting the mechanical stability is hardly fulfilled.
4.2 Thermodynamics¶
Since we have the phonon spectrum (and the vDOS) of the U-\gamma phase, we can now compute its thermodynamic properties (see the tatdep1_5thermo.dat file) and compare them to the ones obtained for the U-\alpha phase (see the tatdep1_4thermo.dat file). Let us evaluate the thermodynamic stability of U-\gamma phase wrt to the U-\alpha one. For this purpose, we will focus on the data extrapolated at the harmonic level (the second part of these two *thermo.dat files). If we plot the total free energy of these two phases, we obtain :

We otbain that the phase transition between the U-\alpha and the U-\gamma phases is around T = 900 K, which is in very good agreement with experiments. You can see that he stabilization of the U-\gamma phase wrt the U-\alpha one comes from the entropy :
vimdiff tatdep1_5thermo.dat tatdep1_4thermo.dat
Note
The previous approach is very rough. Indeed, we used the results obtained at T = 300 K for U-\alpha and at T = 900 K for U-\gamma, and extrapolated their free energies using the harmonic approximation. Moreover, we neglected the thermal pressure coming from each calculation. To be more accurate, we should compute the Gibbs free energy of each phase at several temperatures, make an interpolation, then compare them together. That’s done in the Figure 7 of [Bouchet2017].
4.3 U-\gamma with 2 atoms in the unitcell.¶
At last, we would ask the user to consider the U-\gamma phase as a simple cubic phase with 2 atoms in the unitcell.
To do that, we suggest the user to copy the previous input file in tatdep1_6.abi and to modify the following input variables : brav(2)=0 since the system is now simple cubic, natom_unitcell=2 since there is two atoms in the unitcell, xred_unitcell=0 0 0 0.5 0.5 0.5, typat_unitcell=1 1, multiplicity=4 0 0 0 4 0 0 0 4 since the supercell is now just four times the conventional cell, and remove the line with bzpath since this path is no longer suited for a simple cubic.
You can now modify the files file tatdep1_5.files (in order to take into account the new input file and to prevent the previous output files from being overwritten) as follows :
tatdep1_6.abi
tatdep1_5
tatdep1_6
and execute atdep :
atdep < tatdep1_5.files > log 2> err &
It’s now possible to compare the thermodynamics of the “bcc” and “sc” phases by doing :
vimdiff tatdep1_6thermo.dat tatdep1_5thermo.dat
You can see that the free energy, the entropy, the specific heat… are equal. The thermodynamics of the system is the same, whatever the “cell description” we can assume. This invariance is satisfactory from a scientific point of view.
The user can try to do the same job for Aluminum (note : the conventional cell has 4 atoms).